• Предмет: Алгебра
  • Автор: Змей24
  • Вопрос задан 2 года назад

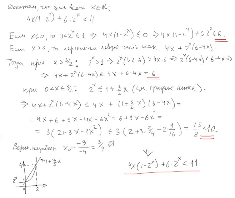
4x(1-2^{x}) - 11 + 6*2^{x} \ \textless \  0
11 класс, задача повышенной сложности

Ответы

Ответ дал: Denik777
2
Здесь можно каким-нибудь способом доказать, что максимум левой части на \mathbb R меньше 0. Чтобы не мучиться  с производными, можно сделать так, как показано на картинке.
Приложения:

Змей24: С графиком это гениально! Спасибо!
Вас заинтересует