Срочно!!
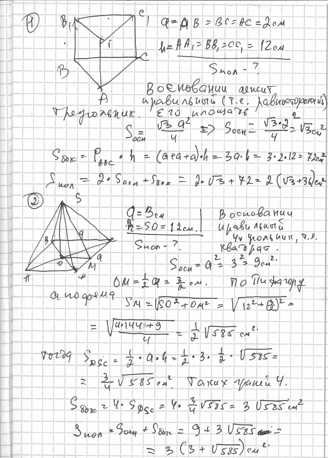
1. В правильной треугольной призме сторона основания равна 2 см, а высота призмы равна 12см. Вычислите площадь полной поверхности призмы.
2. В правильной четырехугольной пирамиде сторона основания равна 3 см, а высота пирамиды равна 12см. Вычислите площадь полной поверхности пирамиды
Если вам не сложно, запишите это на тетрадке и с фотографируйте. Буду очень сильно благодарен!!
Ответы
Ответ дал:
2
Странно и некрасиво подобраны значения сторон и высот
Приложения:

Вас заинтересует
1 год назад
2 года назад
3 года назад
3 года назад
8 лет назад
8 лет назад