• Предмет: Алгебра
  • Автор: solneshko13
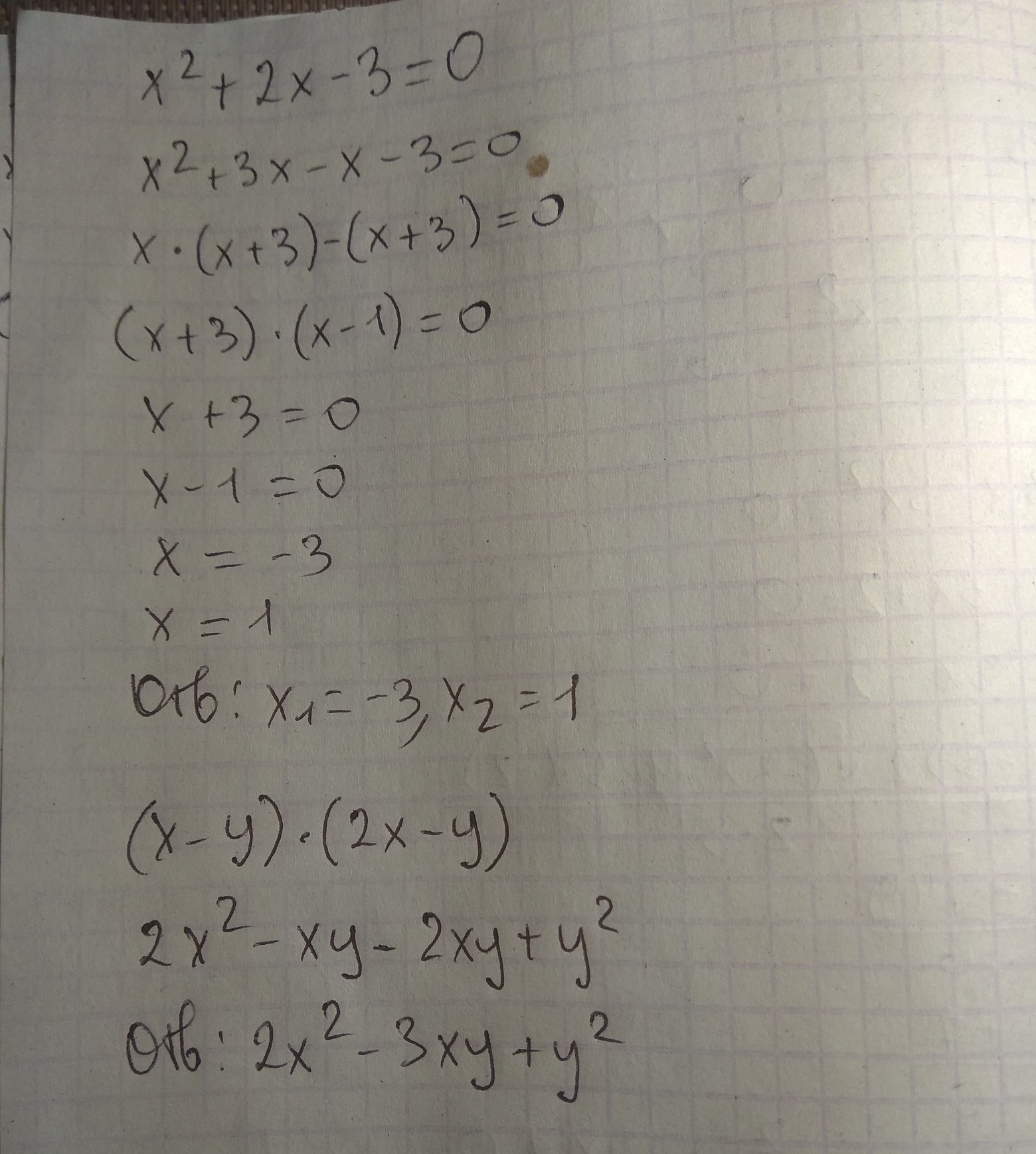
  • Вопрос задан 2 года назад

1)x²+2x-3=0
2)(x-y)*(2x-y)=

Ответы

Ответ дал: silenthill01
1
ответ в вложении ниже
Приложения:
Вас заинтересует