• Предмет: Алгебра
  • Автор: vanka2001
  • Вопрос задан 2 года назад

Математика, помогите

Приложения:

Ответы

Ответ дал: supermanuper
0
Готовый ответ прикрепил
Приложения:

vanka2001: Извините, а куда делась девятка из знаменателя?
Ответ дал: mikael2
0
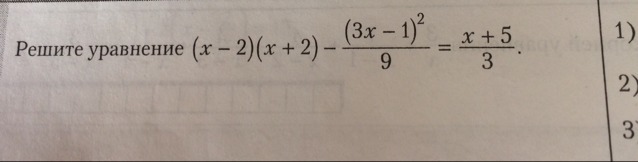
9(x²-4)-(3x-1)²=3x+15
9x²-36-9x²+6x-1=3x+15
3x=15+1+36=52  x=17 1/3
Вас заинтересует