Ответы
Ответ дал:
3
Ответ на фото!!!!!!!!!!!!!!!!
Приложения:

Ответ дал:
4
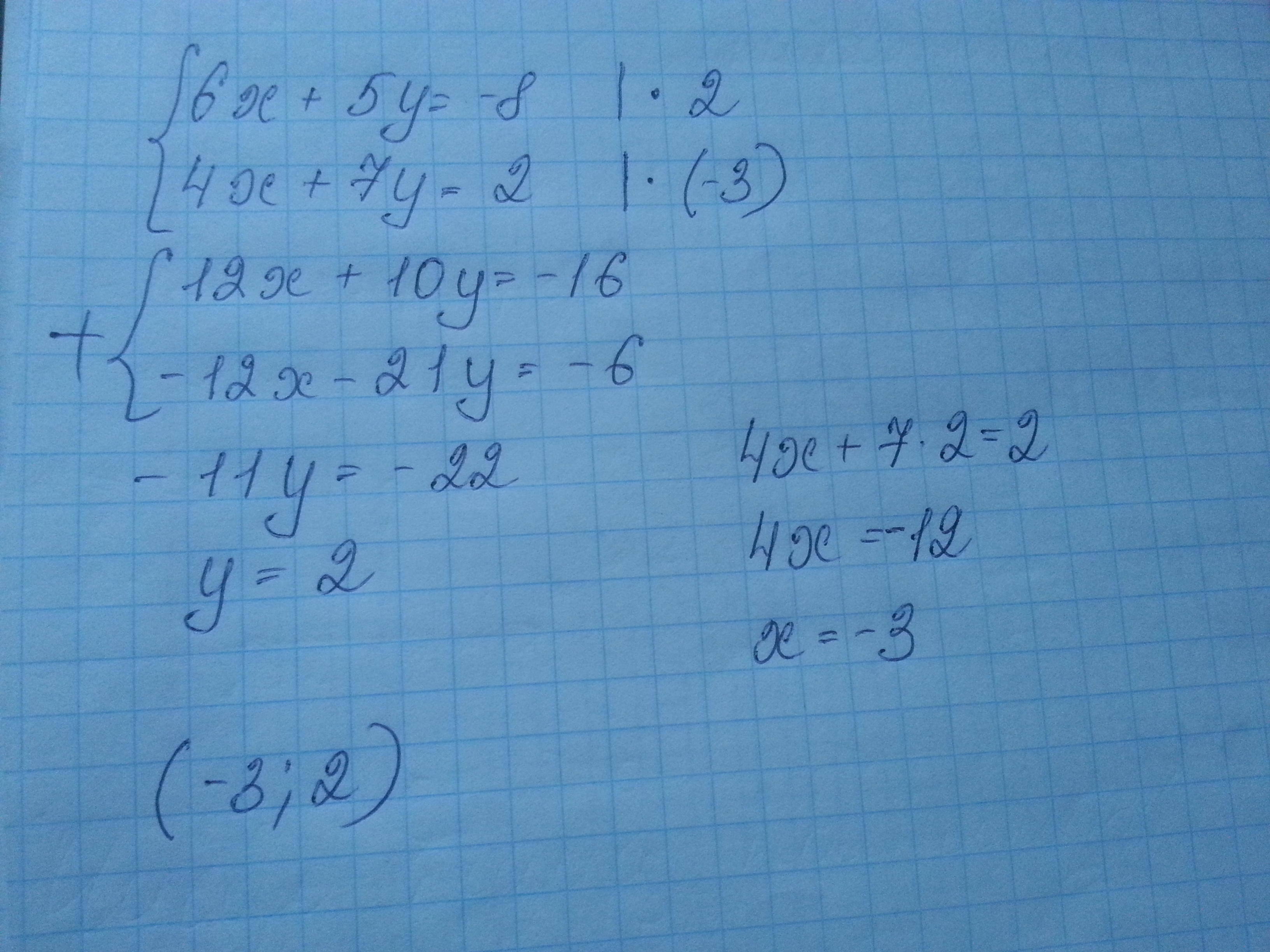
умножаем 1 уравнение на 2:
12x+10y=-16
и второе на (-3)
-12x-21y=-6
складываем эти уравнения:
12x+10y-12x-21y=-16-6
-11y=-22
y=2
для нахождения х подставляем значение у в одно из 2 уравнений:
6x+5*2=-8
6x=-18
x=-3
Ответ: (-3;2)
12x+10y=-16
и второе на (-3)
-12x-21y=-6
складываем эти уравнения:
12x+10y-12x-21y=-16-6
-11y=-22
y=2
для нахождения х подставляем значение у в одно из 2 уравнений:
6x+5*2=-8
6x=-18
x=-3
Ответ: (-3;2)
Вас заинтересует
1 год назад
1 год назад
2 года назад
2 года назад
3 года назад
8 лет назад