Ответы
Ответ дал:
0
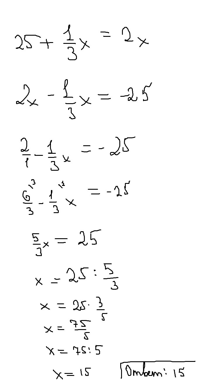
25 + 1/3x = 2x
2x = 25 + 1/3x
2x - 1/3x = 25
1 2/3x = 25
5/3x = 25
x = 25 : 5/3
x = 15
2x = 25 + 1/3x
2x - 1/3x = 25
1 2/3x = 25
5/3x = 25
x = 25 : 5/3
x = 15
DashaGamer555:
Спасибо
Ok!
Молодец! :)
Ответ дал:
0
Ответ: 15
Решение смотрите на картинке
Удачи в учебе! :)
Решение смотрите на картинке
Удачи в учебе! :)
Приложения:
Спасибо
Вас заинтересует
2 года назад
2 года назад
2 года назад
2 года назад
3 года назад
9 лет назад