Ответы
Ответ дал:
2
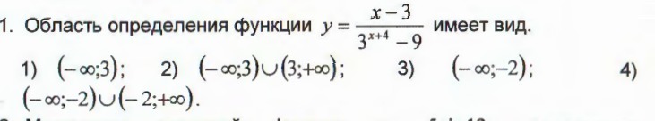
Функция имеет смысл, когда знаменатель не равен нулю

Итак, имеет смысл при всех х, кроме х=-2
Ответ:
Итак, имеет смысл при всех х, кроме х=-2
Ответ:
Ответ дал:
0
Так как функция дробная,то ее знаменатель не должен равняться 0
3^(x+4)-9≠0
3^(x+4)≠9
x+4≠2
x≠-2
D(y)∈(-∞;-2) U (-2;∞)
Ответ 4
3^(x+4)-9≠0
3^(x+4)≠9
x+4≠2
x≠-2
D(y)∈(-∞;-2) U (-2;∞)
Ответ 4
Вас заинтересует
2 года назад
2 года назад
2 года назад
2 года назад
3 года назад
9 лет назад
9 лет назад