Ответы
Ответ дал:
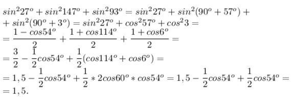
1
Приложения:

pinchukov000:
спасибо
Вас заинтересует
1 год назад
1 год назад
2 года назад
2 года назад
3 года назад
8 лет назад
8 лет назад