• Предмет: Алгебра
  • Автор: 85000
  • Вопрос задан 2 года назад

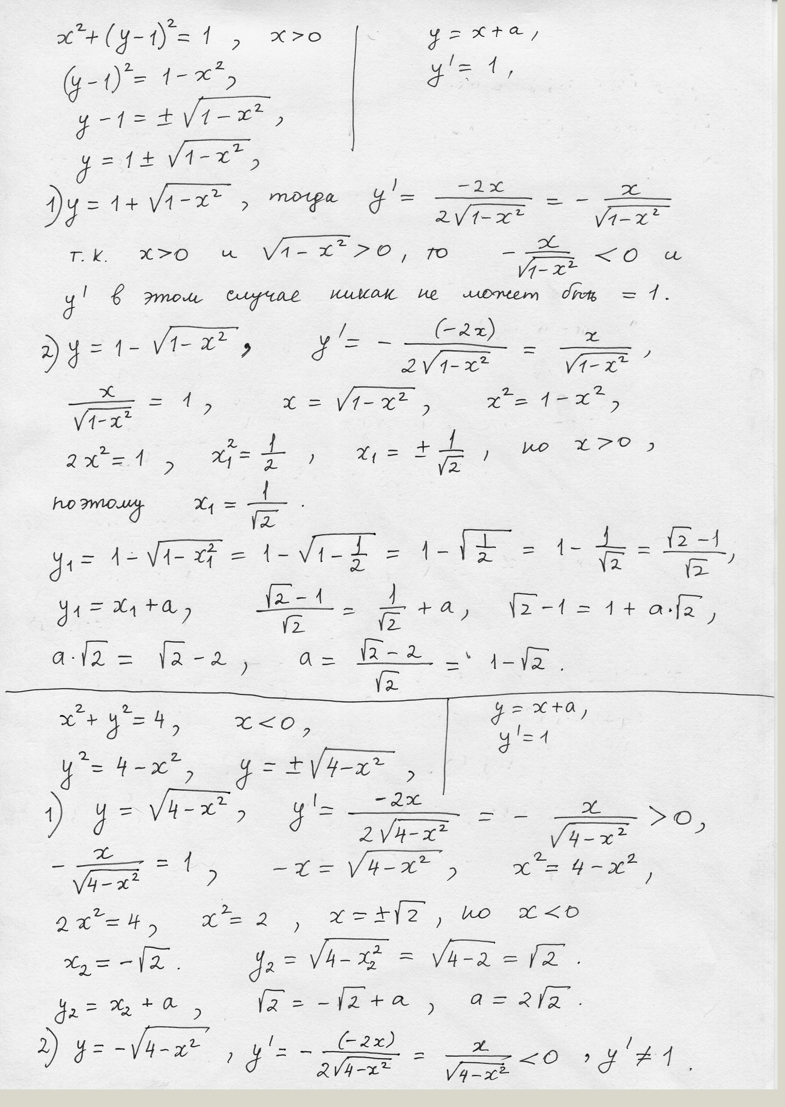
Подскажите, пожалуйста, как здесь нашли ЗНАЧЕНИЯ ПАРАМЕТРА а=2√2 и а=1-√2? Хотелось бы поподробнее этот момент (через формулу расстояния от точки до прямой или через уравнение касательной, как угодно). Просто когда начинаю высчитывать - не сходится ответ, не могу понять, что не так.

Приложения:

Ответы

Ответ дал: Аноним
1
Я написал на листочке...
Приложения:
Вас заинтересует