Ответы
Ответ дал:
2
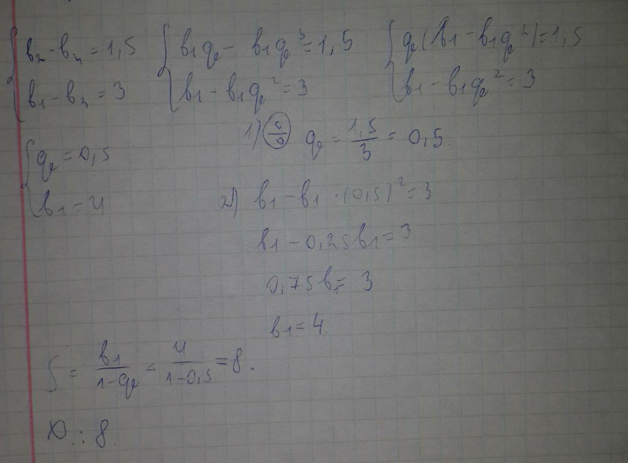
решение на фото ниже. спасибо за то, что не 5 баллов)
Приложения:
Hyivam:
незки
првельно?
а?
ответ?
правельний
да
спс
Ответ дал:
0
{b2-b4=1,5⇒b1q-b1q³=1,5⇒b1(q-q³)=1,5⇒b1=1,5/(q-q³)
{b1-b3=3⇒b1-b1q²=3⇒b1(1-q²)=3
1,5/(q-q³)=3/(1-q²)
1,5/q(1-q²)=3/(1-q²)
1/q=2
q=1/2
b1=3:(1-1/4)=3:3/4=3*4/3=4
S=b1/(1-q)=4:(1-1/2)=4*2=8
{b1-b3=3⇒b1-b1q²=3⇒b1(1-q²)=3
1,5/(q-q³)=3/(1-q²)
1,5/q(1-q²)=3/(1-q²)
1/q=2
q=1/2
b1=3:(1-1/4)=3:3/4=3*4/3=4
S=b1/(1-q)=4:(1-1/2)=4*2=8
Вас заинтересует
2 года назад
2 года назад
2 года назад
2 года назад
3 года назад
9 лет назад