Напишите уравнение реакции гидрогенизации над катализатором сложного эфира глицерина содержащего два кислотных остатка стеариновой кислоты и один кислотный остаток олеиновой кислоты
Ответы
Ответ дал:
2
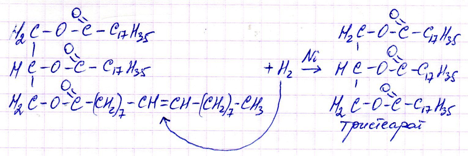
Олеиновая кислота является ненасыщенной кислотой, поэтому гидрированию подвергается именно двойная связь остатка олеиновой кислоты. В результате реакции получается остаток стеариновой кислоты и образуется тристеарат (см. рисунок)
Приложения:
Ответ дал:
4
.........................................................
олинодистеарат + Н2 = тристеарат
олинодистеарат + Н2 = тристеарат
Приложения:
Вас заинтересует
2 года назад
2 года назад
2 года назад
2 года назад
3 года назад
3 года назад
9 лет назад
9 лет назад