Найдите промежутки знакопостоянства функции
y = 1,6 - |10/3 - х|
dnepr1:
Как правильно знаменатель дроби: 3 или 3-х???
Ответы
Ответ дал:
0
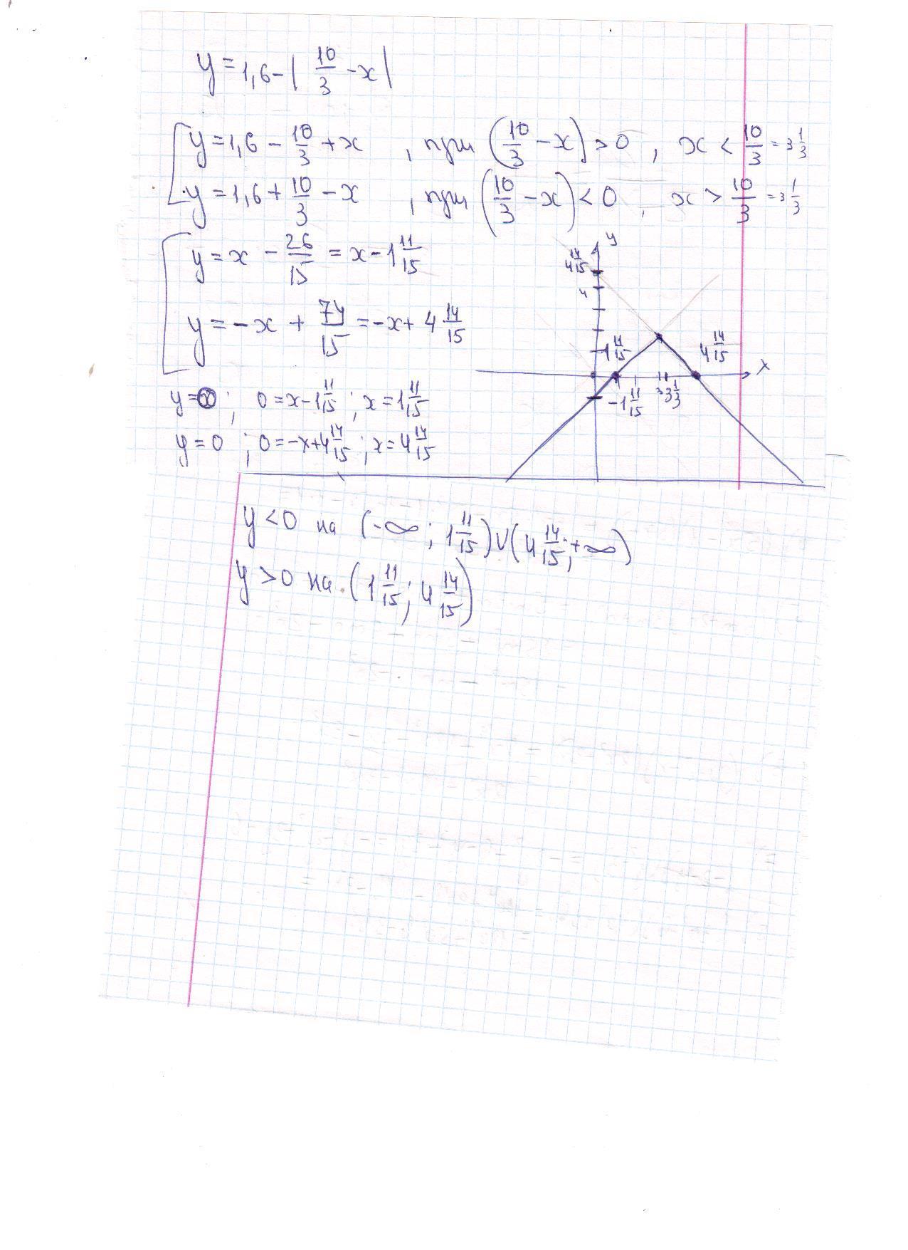
Решение задания приложено для y = 1,6 - |10/3 - х|
Приложения:
Пишите задание по-точнее.
Ответ дал:
0
Заданную функцию y = 1,6 - |10/(3 - х)| можно переписать как y = 1,6 - (10/|3 - х|) так число 10 не имеет переменных значений.
Раскроем модуль и решим 2 уравнения, при которых функция равна 0.

4.8-1,6x-10 = 0.
x = -5,2/1,6 = -3,25.

1,6x-4,8-10 = 0.
1,6x = 14,8.
x = 14,8/1,6 = 9,25.
Между этими точками функция отрицательна (исключая точку х=3), а влево и вправо - положительна,
y < 0 ⇒ x ∈ (-3,25; 9,25), х ≠ 3.
y >0 ⇒ x ∈ (-∞; -3,25) ∪ (9,25; +∞).
Раскроем модуль и решим 2 уравнения, при которых функция равна 0.
4.8-1,6x-10 = 0.
x = -5,2/1,6 = -3,25.
1,6x-4,8-10 = 0.
1,6x = 14,8.
x = 14,8/1,6 = 9,25.
Между этими точками функция отрицательна (исключая точку х=3), а влево и вправо - положительна,
y < 0 ⇒ x ∈ (-3,25; 9,25), х ≠ 3.
y >0 ⇒ x ∈ (-∞; -3,25) ∪ (9,25; +∞).
Вас заинтересует
2 года назад
2 года назад
2 года назад
2 года назад
3 года назад
3 года назад
9 лет назад