Помогите, пожалуйста!!!!
Приложения:
artalex74:
основание у последнего логарифма какое? 2 или 2х?
степень 2 * х^3
совсем запутали ! какое основание у логарифма и какое подлогарифменное выражение?
Ответы
Ответ дал:
1
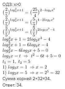
ОДЗ: х>0

Сумма корней 2+32=34.
Ответ: 34.
Сумма корней 2+32=34.
Ответ: 34.
Приложения:
Вас заинтересует
2 года назад
2 года назад
2 года назад
3 года назад
3 года назад
9 лет назад