Пожалуйста, помогите решить уравнения. Они должны быть типовыми.
Приложения:
mmb1:
точно. куда уж типовее. только квадратное уравнение с дисериминантом и таблица умножения типовее
Ответы
Ответ дал:
1
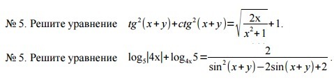
В первом:
левая часть не меньше 2
правая часть не больше 2
соответственно, оно имеет решение только тогда, когда обе части одновременно равны 2
Из правой части: x=1
Тогда левая часть имеет вид: (tg(1+y))^2=1
tg(1+y)=1<=>y=pi/4-1+pik, k∈z
tg(1+y)=-1<=>y=-pi/4-1+pik, k∈z
Получили пары решений: (1;pi/4-1+pik), k∈z и (1;-pi/4-1+pik), k∈z
Во втором аналогично:
левая часть не меньше 2
правая часть не больше 2
из левой части: x=1,25
из правой: sinx(1,25+y)=1
1,25+y=pi/2+2pik, k∈z
y=-1,25+pi/2+2pik, k∈z
Ответ: (1,25;-1,25+pi/2+2pik), k∈z
левая часть не меньше 2
правая часть не больше 2
соответственно, оно имеет решение только тогда, когда обе части одновременно равны 2
Из правой части: x=1
Тогда левая часть имеет вид: (tg(1+y))^2=1
tg(1+y)=1<=>y=pi/4-1+pik, k∈z
tg(1+y)=-1<=>y=-pi/4-1+pik, k∈z
Получили пары решений: (1;pi/4-1+pik), k∈z и (1;-pi/4-1+pik), k∈z
Во втором аналогично:
левая часть не меньше 2
правая часть не больше 2
из левой части: x=1,25
из правой: sinx(1,25+y)=1
1,25+y=pi/2+2pik, k∈z
y=-1,25+pi/2+2pik, k∈z
Ответ: (1,25;-1,25+pi/2+2pik), k∈z
Вас заинтересует
2 года назад
2 года назад
2 года назад
2 года назад
3 года назад
3 года назад
9 лет назад