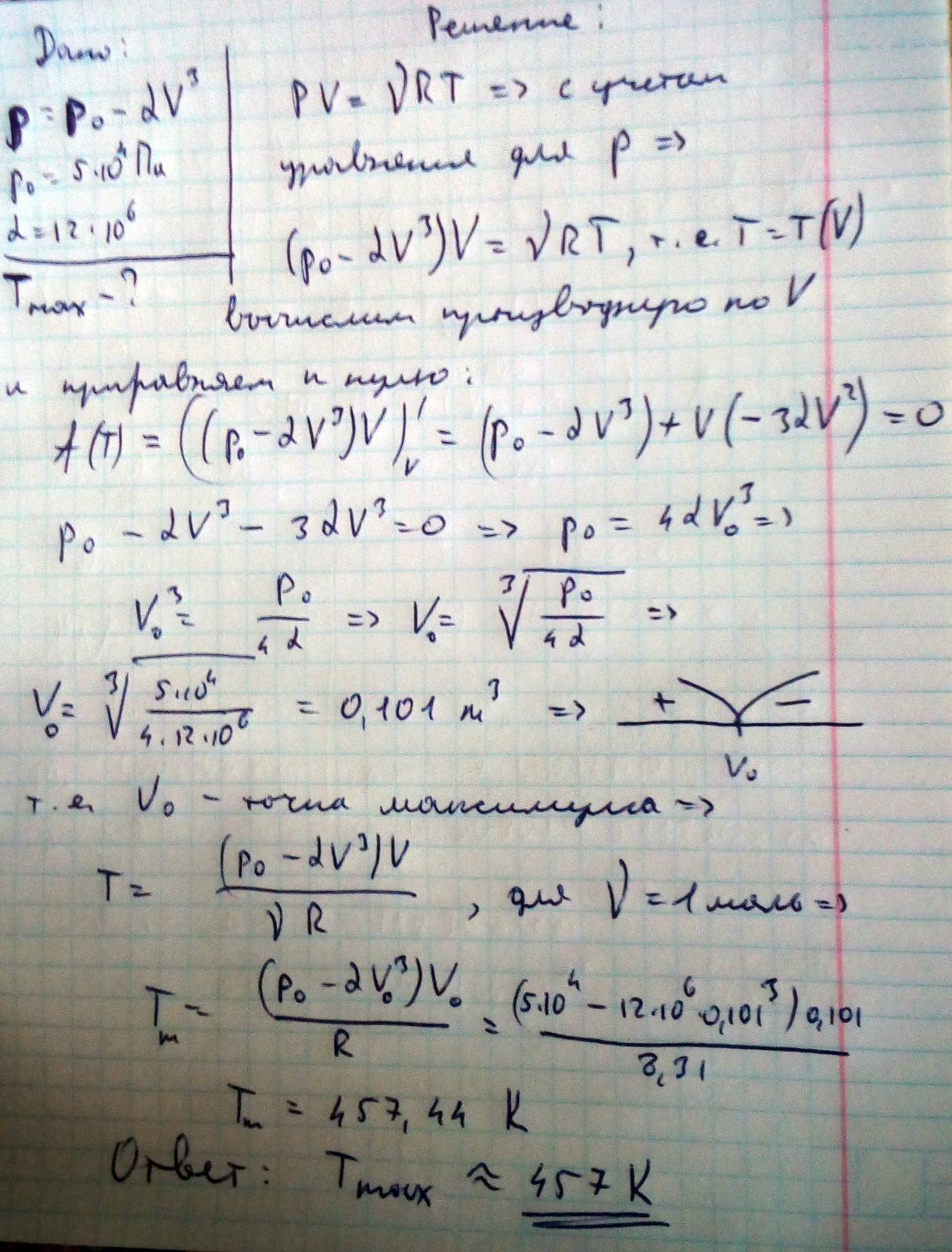
Давление идеального газа меняется согласно закону
ρ=ρ₀-αV³, где
p₀= 50 кПа, α = 12 МПа·моль³·м⁻⁹, V – объем одного моля газа. Найти
максимально возможную температуру для такого процесса.
Ответы
Ответ дал:
0
Держи решение в файле!
Приложения:

Вас заинтересует
1 год назад
2 года назад
2 года назад
3 года назад
3 года назад