Ответы
Ответ дал:
3
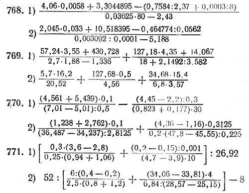
№770(2)
Первые пять действия относятся к первой дроби
1) 1,238+2,762=4
2) 36,487-34,237=2,25
3) 4·0,1=0,4
4) 2,25÷2,8125=0,8
5) 0,4÷0,8=0,5
Следующие шесть действий относятся ко второй дроби
6) 4,36-1,16=3,2
7) 47,8-45,55=2,25
8) 3,2·0,3125=1
9) 0,2·2,25=0,45
10) 0,45÷0,225=2
11) 1÷2=0,5
Следующее действие - это сложение первой и второй дроби
12) 0,5+0,5=1
Ответ: 1
№769(2)
Первая дробь
1) 5,7·16,2=92,34
2) 92,34÷20,52=4,5
Вторая дробь
3) 127,68·0,5=63,84
4) 63,84÷4,56=14
Третья дробь
5) 34,68·15,4=534,072
6) 6,8·3,57=24,276
7) 534,072÷24,276=22
Теперь складываем все три дроби
8) 4,5+14+22=40,5
Ответ: 40,5
Первые пять действия относятся к первой дроби
1) 1,238+2,762=4
2) 36,487-34,237=2,25
3) 4·0,1=0,4
4) 2,25÷2,8125=0,8
5) 0,4÷0,8=0,5
Следующие шесть действий относятся ко второй дроби
6) 4,36-1,16=3,2
7) 47,8-45,55=2,25
8) 3,2·0,3125=1
9) 0,2·2,25=0,45
10) 0,45÷0,225=2
11) 1÷2=0,5
Следующее действие - это сложение первой и второй дроби
12) 0,5+0,5=1
Ответ: 1
№769(2)
Первая дробь
1) 5,7·16,2=92,34
2) 92,34÷20,52=4,5
Вторая дробь
3) 127,68·0,5=63,84
4) 63,84÷4,56=14
Третья дробь
5) 34,68·15,4=534,072
6) 6,8·3,57=24,276
7) 534,072÷24,276=22
Теперь складываем все три дроби
8) 4,5+14+22=40,5
Ответ: 40,5
Вас заинтересует
2 года назад
2 года назад
2 года назад
3 года назад
9 лет назад
9 лет назад