• Предмет: Алгебра
  • Автор: Demana
  • Вопрос задан 2 года назад

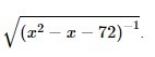
Помогите найти область определения выражения

Приложения:

paradiseva: где само задание?
Demana: В картинке)

Ответы

Ответ дал: paradiseva
1
 \sqrt{(x^2-x-72)^{-1}}\\
(x^2-x-72)^{-1} \geq 0\\
 \frac{1}{x^2-x-72}  \geq 0\\======================\\
x^2-x-72=0\\
D=1+288=289\\
x_1= \frac{1+17}{2}=9\\
x_2= \frac{1-17}{2}=-8\\
======================\\
 \frac{1}{(x-9)(x+8)}  \geq 0\\
x\in(-\infty;-8)\cup(9;+\infty)
Приложения:

Demana: Не понятно написал
Demana: А почему область (-8;9) не входит?
Demana: Я поняла)
Вас заинтересует