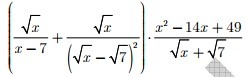
Помогите сократить выражения и найти значение, если x = 13.
Приложения:

LyubaAlexandorovna:
Спрашивайте, если что-то не понятно.
Ответы
Ответ дал:
1
(√x/(x-7)+√x/(√x-√7)²)*(x²-14x+49)/(√x+√7)=
=(√x/((√x-√7)*√x+√7))+√x/(√x-√7)²)*(x-7)²/(√x+√7)=
=(√x*(√x-√7)+√x*(√x+√7))/((√x+√7)(√x-√7)²)*(√x-√7)²*(√x+√7)²/(√x+√7)=
=(√x*(√x-√7+√x+√7)/(√x+√7)(√x-√7)²)*(√x-√7)²*(√x+√7)=√x*2√x=2x=2*13=26.
=(√x/((√x-√7)*√x+√7))+√x/(√x-√7)²)*(x-7)²/(√x+√7)=
=(√x*(√x-√7)+√x*(√x+√7))/((√x+√7)(√x-√7)²)*(√x-√7)²*(√x+√7)²/(√x+√7)=
=(√x*(√x-√7+√x+√7)/(√x+√7)(√x-√7)²)*(√x-√7)²*(√x+√7)=√x*2√x=2x=2*13=26.
Ответ дал:
1
Выполним первое действие - сложение в скобке:
(√х/((√х-√7)*(√х+√7))+√х/((√х-√7)*(√х-√7))=
Общий знаменатель: (√х+√7)*(√х-√7)*(√х-√7)
Запишем числитель: √х*(√х-√7)+√х*(√х+√7)=√х*(√х-√7+√х+√7)=√х*2*√х=2*х
Преобразуем общий знаменатель:
(√х+√7)*(√х-√7)*(√х-√7)=(х-7)*(√х-√7)
х²-14*х+49=(х-7)²
Запишем полученное выражение:
(2*х*(х-7)²)/((х-7)*(√х-√7)*(√х+√7)=(сократим (х-7)=(2*х*(х-7))/(х-7)=(сократим на (х-7))=2*х
2*13=26
(√х/((√х-√7)*(√х+√7))+√х/((√х-√7)*(√х-√7))=
Общий знаменатель: (√х+√7)*(√х-√7)*(√х-√7)
Запишем числитель: √х*(√х-√7)+√х*(√х+√7)=√х*(√х-√7+√х+√7)=√х*2*√х=2*х
Преобразуем общий знаменатель:
(√х+√7)*(√х-√7)*(√х-√7)=(х-7)*(√х-√7)
х²-14*х+49=(х-7)²
Запишем полученное выражение:
(2*х*(х-7)²)/((х-7)*(√х-√7)*(√х+√7)=(сократим (х-7)=(2*х*(х-7))/(х-7)=(сократим на (х-7))=2*х
2*13=26
Вас заинтересует
2 года назад
2 года назад
3 года назад
8 лет назад
8 лет назад