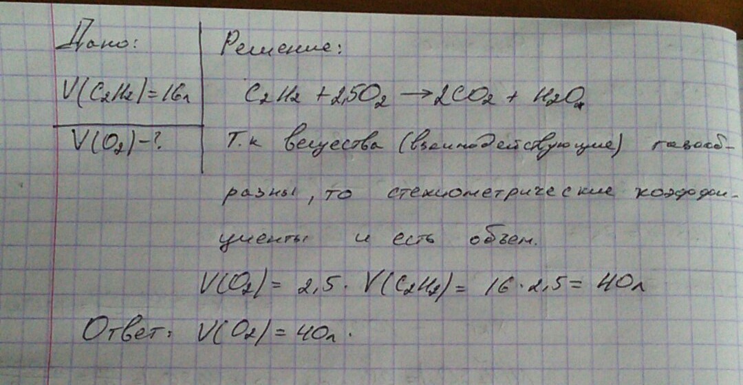
Пожалуйста помогите!!!!! Какой объем кислорода потребуется для полного сгорания 16л ацетилена ?Объёмы газов измерены при одинаковых условиях (запишите число с точностью до целых)
Ответы
Ответ дал:
0
Решение в фото........:
Приложения:

Ответ дал:
0
Решение в прикрепленном файле.
Приложения:

Вас заинтересует
1 год назад
2 года назад
2 года назад
3 года назад
3 года назад
8 лет назад