сколько пар целых решений имеет уравнение?
IUV:
6 пар корней
можно решение?
ответ 3
3 целых положительных пары, 6 целых пар включая отрицательные
я еще не учел ОДЗ (((
моежете добавить решение?
Ответы
Ответ дал:
2
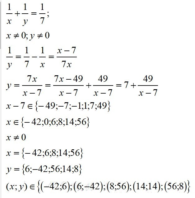
в решении было 6 пар решений, одна из них не вошла в ОДЗ и осталось 5
из оставшихся пяти три пары целые положительные а две содержат целые отрицательные числа
так что выбирать Вам
я считаю что 5 пар целых решений )))
из оставшихся пяти три пары целые положительные а две содержат целые отрицательные числа
так что выбирать Вам
я считаю что 5 пар целых решений )))
Приложения:
спеасибо
*спасибо
на здоровье
Вас заинтересует
2 года назад
2 года назад
2 года назад
3 года назад
9 лет назад