Ответы
Ответ дал:
0
Ответ: D
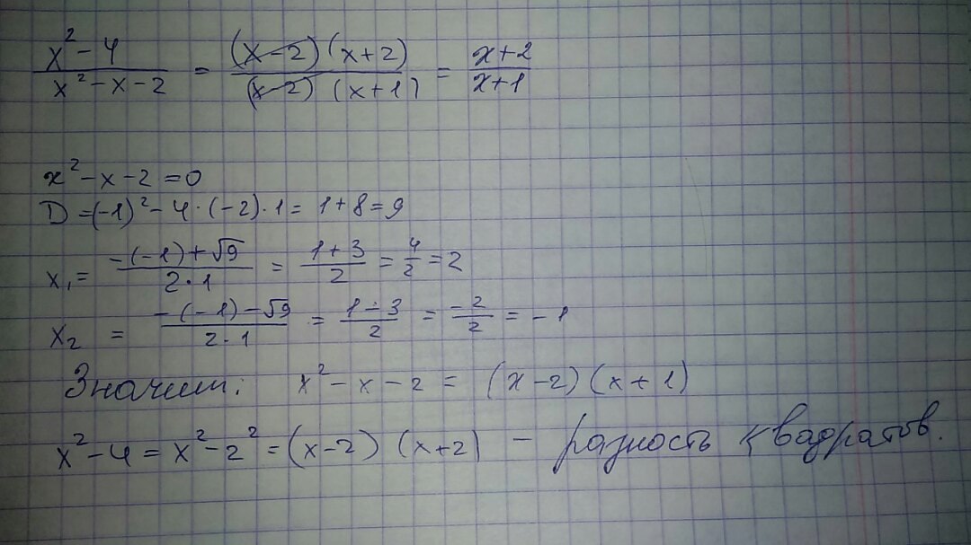
Решение на фото
Решение на фото
Приложения:

Вас заинтересует
1 год назад
2 года назад
2 года назад
3 года назад
8 лет назад