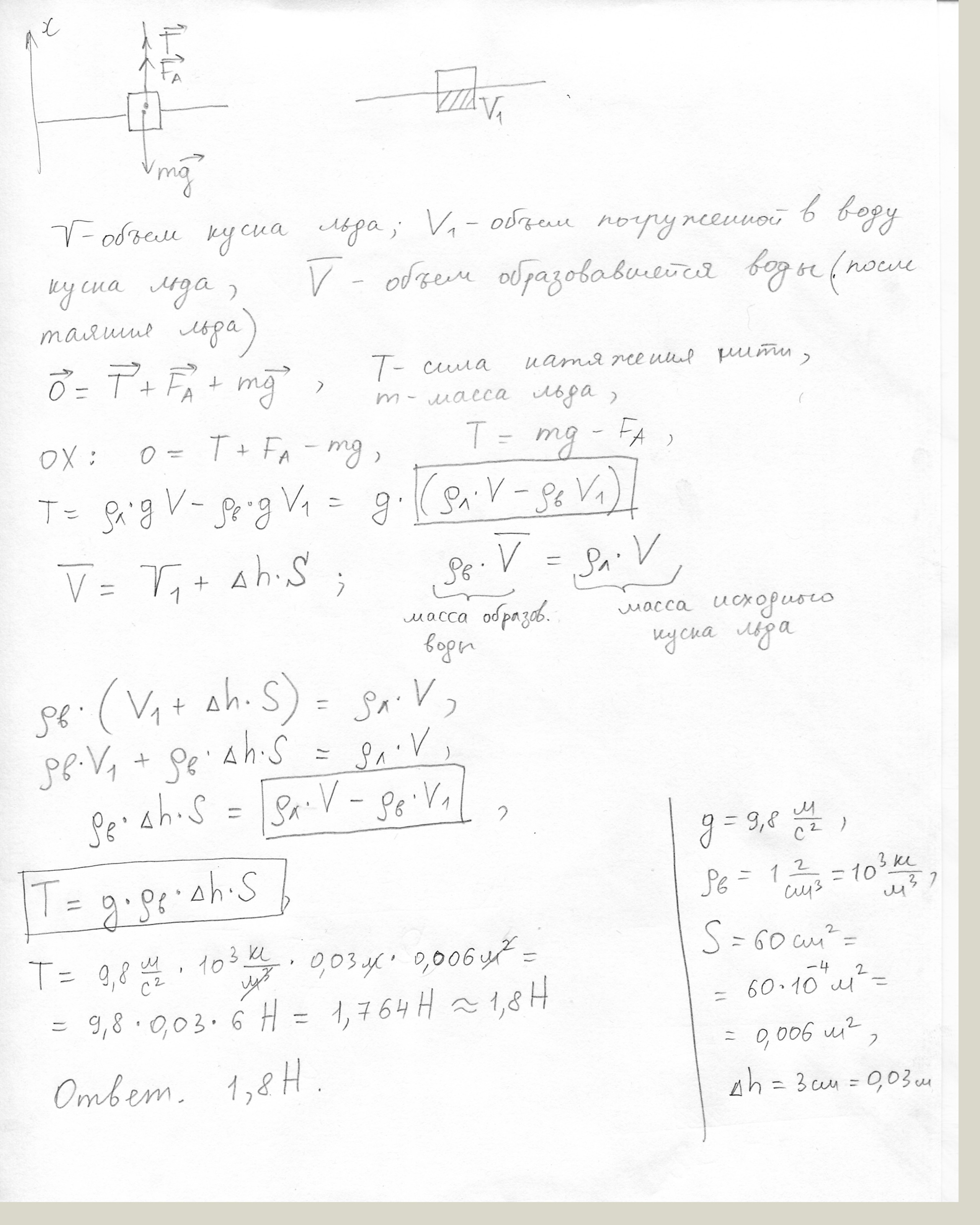
На нити, привязанной к стойке, висит кусок льда, частично погружённый в воду, налитую в цилиндрический сосуд. После того, как лёд растаял, уровень воды в сосуде изменился на Δh=3 см. Площадь дна сосуда S=60 см2. Плотность воды ρ=1 г/см3
Чему равна сила натяжения нити в начале эксперимента. Ответ выразить в Н, округлив до десятых.
Аноним:
Как я понял уровень воды (после того как лед растаял) увеличился. Правильно? Если это эксперимент, то в нем это должно быть сразу видно.
Ответы
Ответ дал:
9
Решение на листочке...
Приложения:

Вас заинтересует
1 год назад
2 года назад
3 года назад
3 года назад