Ответы
Ответ дал:
0
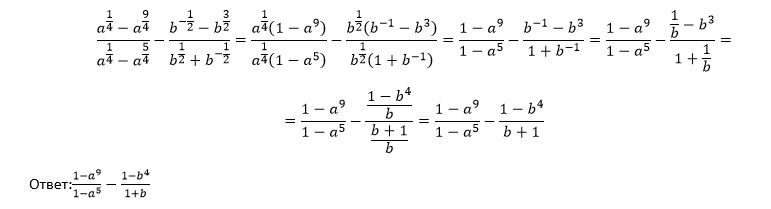
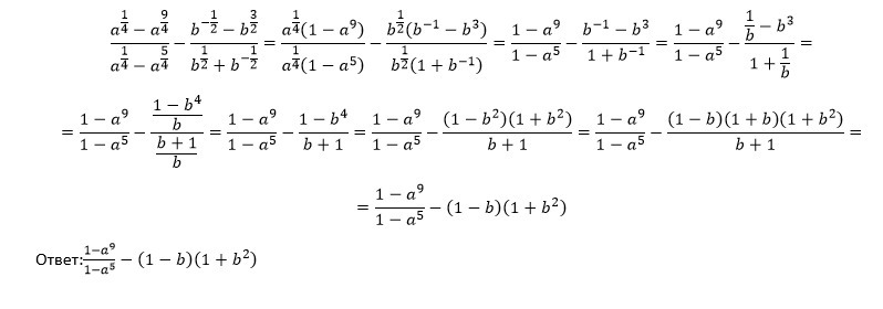
Решение на приложенном скане. Можно остановиться на скане 1, а можно еще сделать преобразования (как на скане 2).
Приложения:


Вас заинтересует
1 год назад
1 год назад
2 года назад
2 года назад