Ответы
Ответ дал:
2
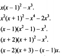
x³-2x²+x-x³=-2x²+x
x^4+2x³+x²-x^4-2x³=x²
x³-x-x²+1-x³=-x²-x+1
(x³+2x²+x+2x²+4x+2-x³=4x²+5x+2
x²+3x-2x-6-x²+x=-4x-6
x^4+2x³+x²-x^4-2x³=x²
x³-x-x²+1-x³=-x²-x+1
(x³+2x²+x+2x²+4x+2-x³=4x²+5x+2
x²+3x-2x-6-x²+x=-4x-6
Вас заинтересует
2 года назад
2 года назад
2 года назад
2 года назад
3 года назад
3 года назад
9 лет назад