• Предмет: Геометрия
  • Автор: AnSun1
  • Вопрос задан 2 года назад

Помогите пожалуйста ^-^

Приложения:

Alexаndr: Это ромб да?
nastia12358ot8xk9: Нет, у ромба все стороны одинаковые
Alexаndr: Прост нарисовано кнш...
nastia12358ot8xk9: если ам и мс одинаковые, вм - общая, как тогда стороны могут быть 5 и 3?
Alexаndr: Ну... тип там они не под 90 градусов пересекаются (диагонали)

Ответы

Ответ дал: Аноним
0
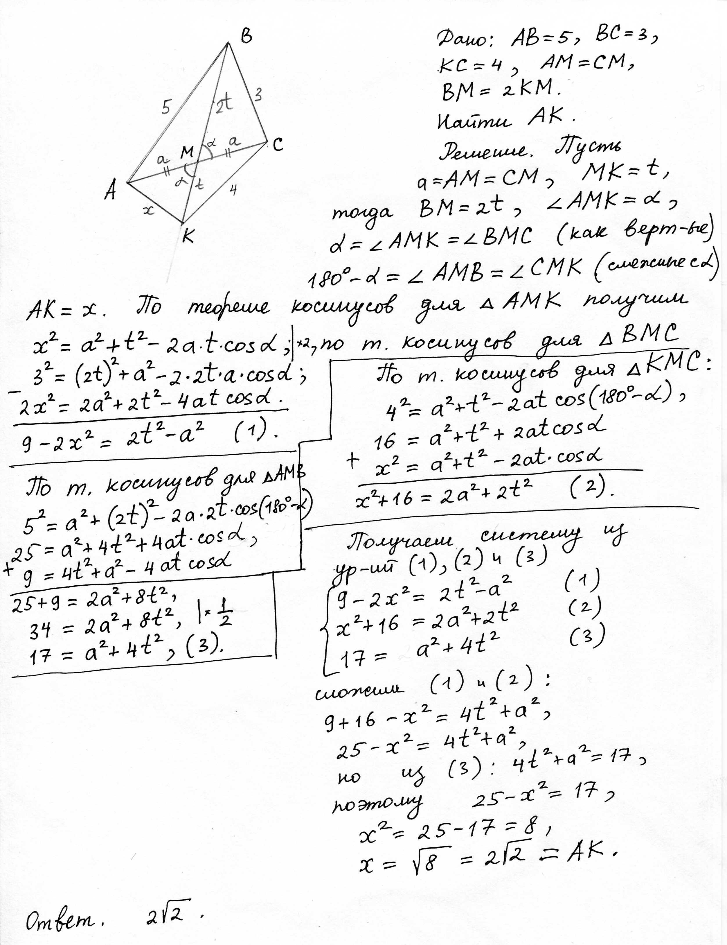
Я решил через теорему косинусов, не знаю проходили ли вы её. Решение на листочке.
Приложения:
Вас заинтересует