• Предмет: Алгебра
  • Автор: ЭрикаСыпко
  • Вопрос задан 2 года назад

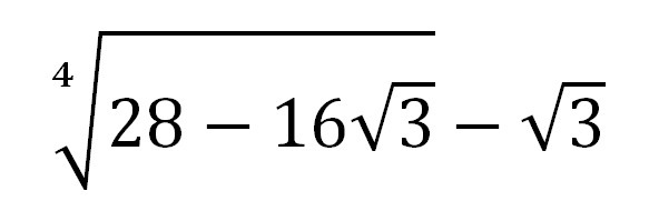
Ответ: -1. Подробное решение, пожалуйста.

Приложения:

Ответы

Ответ дал: kirichekov
3
решение во вложении---------------
Приложения:
Ответ дал: sedinalana
0
 \sqrt[4]{(4-2 \sqrt{3})^2 } - \sqrt{3} = \sqrt{4-2 \sqrt{3} } - \sqrt{3} = \sqrt{( \sqrt{3}-1)^2 } - \sqrt{3} = \sqrt{3} -1- \sqrt{3} =-1
Вас заинтересует