Только объяснить решение!
Решения на фото, как решать дальше знаю только пожалуйста как можно подробней!
Приложения:


Ответы
Ответ дал:
1
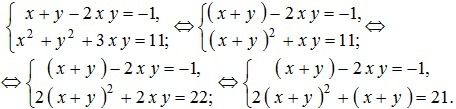
Всё решение есть на фото ;)
Приложения:

Вас заинтересует
1 год назад
2 года назад
3 года назад
3 года назад
8 лет назад
8 лет назад