помогите пожалуйста решить уравнения!!!!!!!12 и 13 задание!!!спасибо большое тем кто сможет помочь!!!!!очень нужно!!!
Приложения:

Ответы
Ответ дал:
1
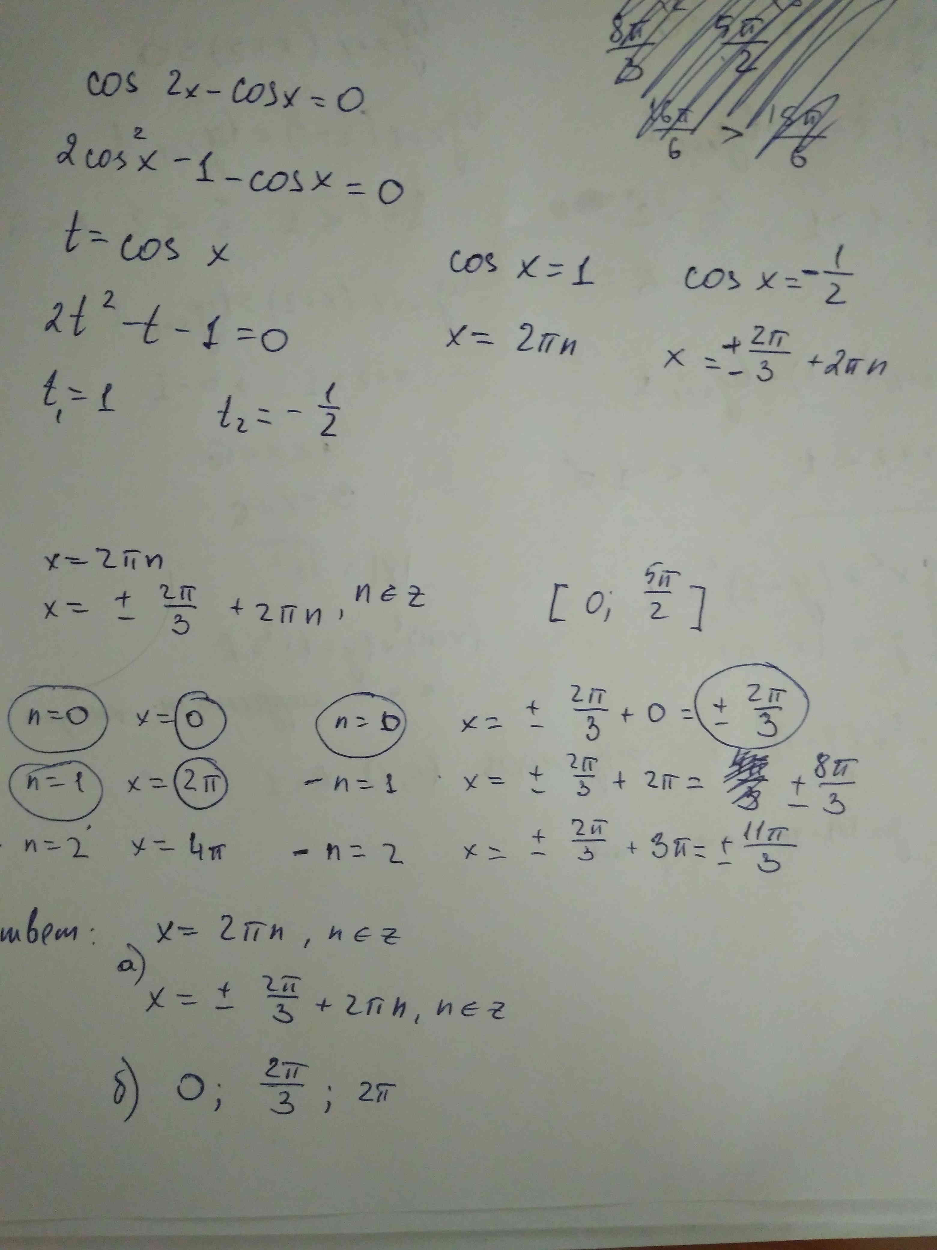
вроде как-то так, но насчёт корней не уверен
Приложения:

musya2018:
спасибо большое)))вы мне очень помогли)))
Вас заинтересует
1 год назад
1 год назад
2 года назад
2 года назад
3 года назад
8 лет назад