• Предмет: Алгебра
  • Автор: fedoskamam
  • Вопрос задан 2 года назад

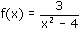
Найдите область определения функции и подробно

Приложения:

Ответы

Ответ дал: irinan2014
1
Всё подробно написала в решении.
Приложения:
Вас заинтересует