• Предмет: Алгебра
  • Автор: alligator02nd
  • Вопрос задан 2 года назад

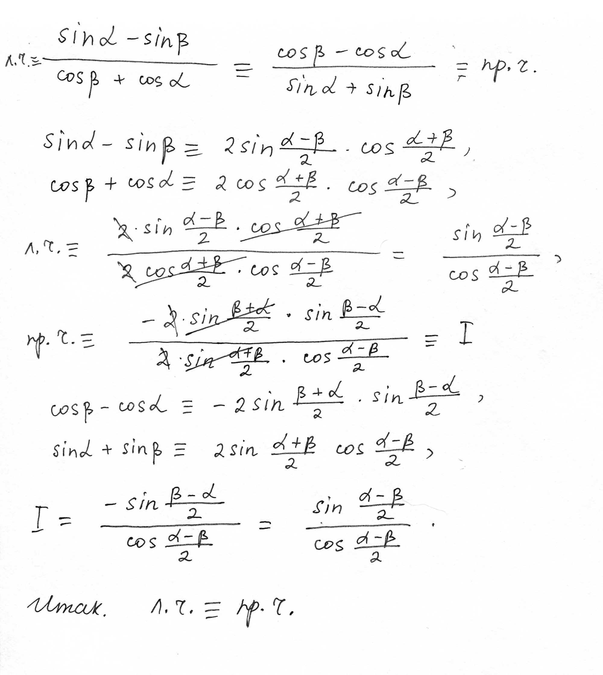
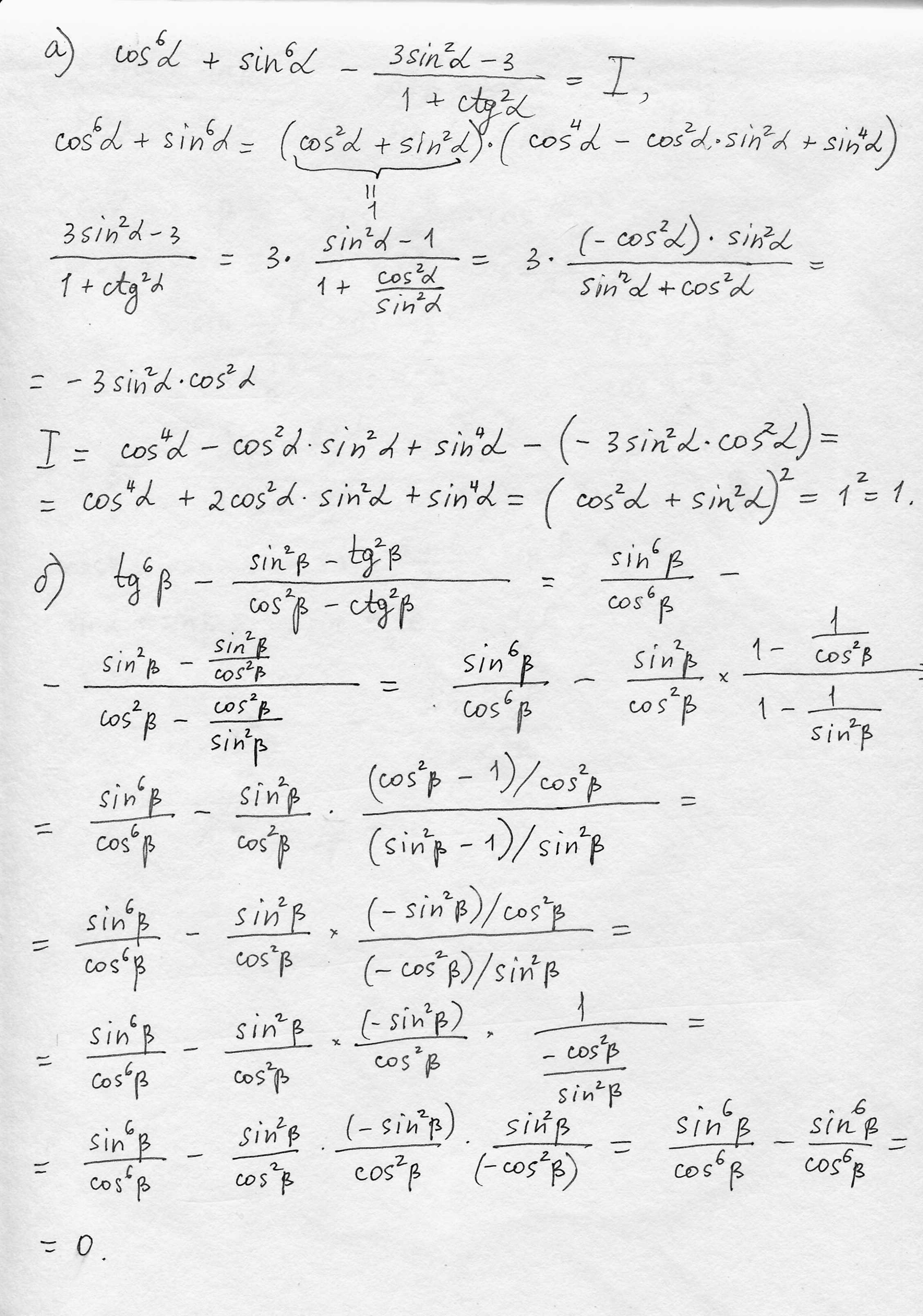
В первых двух упростить выражение, а в третьем доказать тождество.

Приложения:

Ответы

Ответ дал: Аноним
1
Решение на двух листочках...
Приложения:

alligator02nd: Огромное спасибо
Вас заинтересует