Ответы
Ответ дал:
0
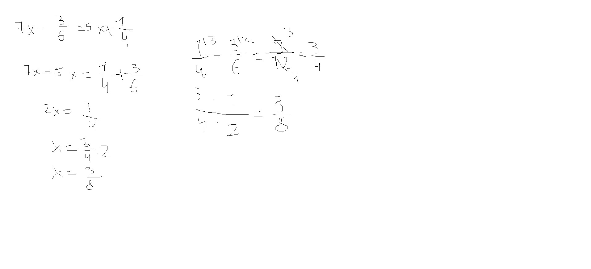
7x-3/6=5х+1/4|*12
84x-6=60x+3
84x-60x=3+6
24x=9|:24
x=3/8
84x-6=60x+3
84x-60x=3+6
24x=9|:24
x=3/8
Ответ дал:
0
Вот держи..)
.......................................
.......................................
Приложения:

Вас заинтересует
1 год назад
1 год назад
2 года назад
3 года назад
8 лет назад