Ответы
Ответ дал:
2
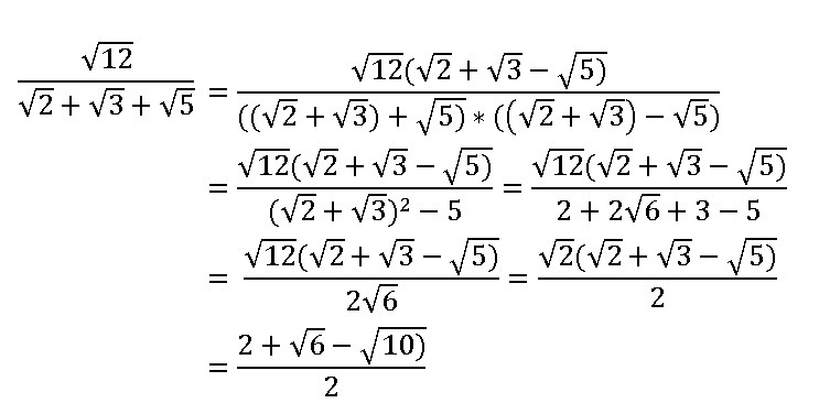
решение на фотографии
Приложения:

7zdjy:
большое спасибо!!!
Вас заинтересует
1 год назад
1 год назад
2 года назад
2 года назад
3 года назад
8 лет назад