Ответы
Ответ дал:
0
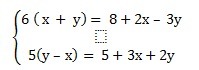
{6x+6y=8+2x-3y, 5y-5x=5+3x+2y; {6x+6y-2x+3y=8, 5y-5x-3x-2y=5; {4x+9y=8, 3y-8x=5; 4x=8-9y, подставляем во второе уравнение системы: 3y-2*(8-9y)=5; 3y-16+18y=5; 21y=21, y=21/21=1. 4x=8-9*1, 4x= -1, x= -1/4. Ответ: (-1/4: 1).
Ответ дал:
1
1) Преобразуем первое уравнение системы:
6х+6у=8+2х-3у; 6х-2х+6у+3у=8; 4х+9у=8 - это первое уравнение системы.
2) преобразуем второе уравнение системы:
5у-5х=5+3х+2у; 8х-3у=-5; это второе уравнение системы.
3) Решаем системы способом сложения. Второе уравнение умножим на 3.
Получим 24х-9у=-15. Сложим с первым уравнением и получим 28х=-7:
х=-0,25.
Подставим значение х в первое уравнение
4(-0,25)+9у=8,
-1+9у=8,
9у=9; у=1.
Ответ: (-0,25; 1)
6х+6у=8+2х-3у; 6х-2х+6у+3у=8; 4х+9у=8 - это первое уравнение системы.
2) преобразуем второе уравнение системы:
5у-5х=5+3х+2у; 8х-3у=-5; это второе уравнение системы.
3) Решаем системы способом сложения. Второе уравнение умножим на 3.
Получим 24х-9у=-15. Сложим с первым уравнением и получим 28х=-7:
х=-0,25.
Подставим значение х в первое уравнение
4(-0,25)+9у=8,
-1+9у=8,
9у=9; у=1.
Ответ: (-0,25; 1)
Вас заинтересует
2 года назад
2 года назад
3 года назад
3 года назад
9 лет назад