Ответы
Ответ дал:
1
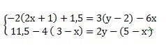
{-4x-2+1,5=3y-6-6x
{11,5-12+4x=2y-5+x
{-4x-3y+6x=-6+2-1,5
{4x-2y-x=-5+12-11,5
{2x-3y=-5,5|*3
{3x-2y=-4,5|*2
-{6x-9y=-16,5
-{6x-4y=-9
-5y=-7,5|:(-5)
y=1,5
3x-2*1,5=-4,5
3x=-4,5+3
3x=-1,5|:3
x=-0,5
{11,5-12+4x=2y-5+x
{-4x-3y+6x=-6+2-1,5
{4x-2y-x=-5+12-11,5
{2x-3y=-5,5|*3
{3x-2y=-4,5|*2
-{6x-9y=-16,5
-{6x-4y=-9
-5y=-7,5|:(-5)
y=1,5
3x-2*1,5=-4,5
3x=-4,5+3
3x=-1,5|:3
x=-0,5
Вас заинтересует
2 года назад
3 года назад
3 года назад
9 лет назад