• Предмет: Математика
  • Автор: Bilalkoreec9487
  • Вопрос задан 2 года назад

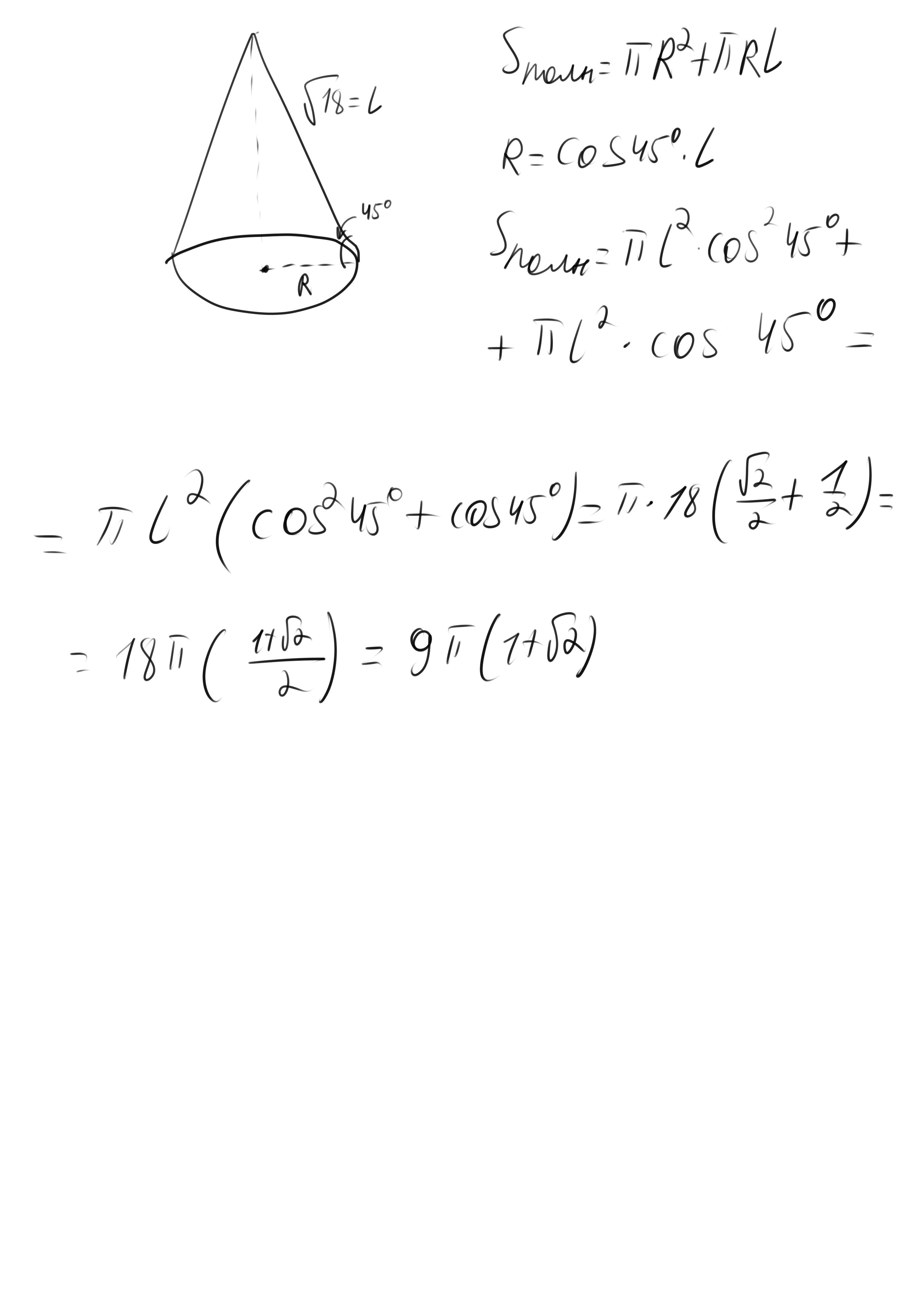
образующая конуса наклонена к плоскости основания под углом 45 градусов. найдите площадь полной поверхности конуск, если длина образующей равна корень из 18

Ответы

Ответ дал: koshkovartem
0
просто по формуле фигачишь и находишь радиус
Приложения:
Ответ дал: fadarm
0
S=π*R*(R+L), где R - радиус основания конуса, L - образующая
Cos45= \frac{R}{L}  ⇒ R=L*Cos45°=3* \sqrt{2}* \frac{1}{ \sqrt{2} } =3 условных единиц длины
S=π*3(3+3√2)=9π(1+√2)≈68 условных единиц площади
Вас заинтересует