• Предмет: Математика
  • Автор: specnaz12
  • Вопрос задан 2 года назад

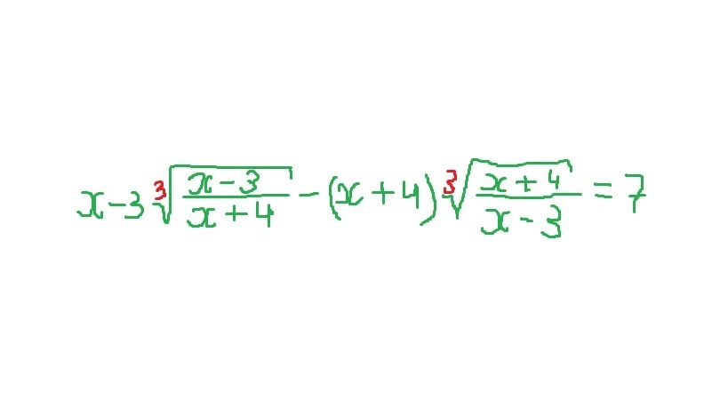
ПОЖАЛУЙСТА... РЕШИТЕ УРАВНЕНИЕ... 25 баллов...

Приложения:

terepanatalia: скобки не потеряли в х-3
specnaz12: дааа скобки там
Mr0leg: В следующий раз постарайтесь дать условие без ошибок!

Ответы

Ответ дал: Аноним
3
\displaystyle (x-3) \sqrt[3]{ \frac{x-3}{x+4} } -(x+4) \sqrt[3]{ \frac{x+4}{x-3} }=7

Представим правую часть уравнения так:

\displaystyle (x-3)\sqrt[3]{ \frac{x-3}{x+4} }-(x+4)\sqrt[3]{ \frac{x+4}{x-3} }=x+4-(x-3)\,\,\, |:(x-3\ne0)\\ \\ \\ \sqrt[3]{ \frac{x-3}{x+4} }- \frac{x+4}{x-3} \sqrt[3]{ \frac{x+4}{x-3} }= \frac{x+4}{x-3} -1

Пусть \sqrt[3]{ \dfrac{x+4}{x-3} }=t;\,\,\,\,\, \Rightarrow\,\,\,\,\,   \dfrac{x+4}{x-3}=t^3

Тогда имеем

 \frac{1}{t} -t^3\cdot t=t^3-1 |\cdot t\\ \\ 1-t^5=t^4-t\\ \\ t^5+t^4-t-1=0\\ t^4(t+1)-(t+1)=0\\ \\ (t+1)(t^4-1)=0\\ (t+1)(t^2-1)(t^2+1)=0\\ (t+1)^2(t-1)(t^2+1)=0\\ t_1=-1\\ t_2=1

Обратная замена

\sqrt[3]{ \dfrac{x+4}{x-3} }=-1\\ \\ x+4=-x+3\\ 2x=-1\\ x=-0.5\\ \\ \\ \sqrt[3]{ \dfrac{x+4}{x-3} }=1\\ \\ x+4=x-3\\ 4=-3



Ответ: -0.5

specnaz12: СПАСИБООООО!!!
Вас заинтересует