• Предмет: Физика
  • Автор: Алкадиеныч
  • Вопрос задан 2 года назад

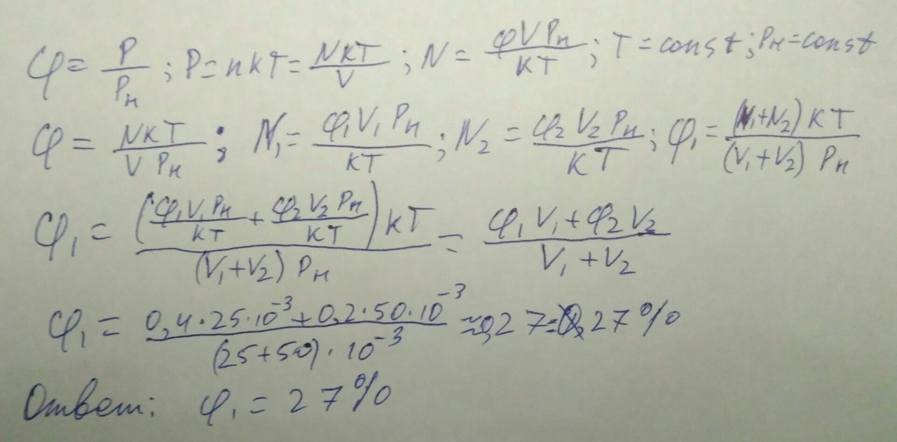
В двух баллонах объемами V1 = 25 л и V2 = 50 л находится влажный воздух при одинаковой температуре. Относительная влажность воздуха в первом баллоне (pi = 40 %, а во втором - pi2 = 20 %. Какой будет относительная влажность, если баллоны соединить трубкой и дождаться установления равновесия? Температуру считать постоянной.
Решить подробно.


ЮрВас: 26,7%
aleksobuhov350: Я округлил ответ в большую сторону, в задачнике ответ 27

Ответы

Ответ дал: aleksobuhov350
1
Смотрите решение на фотографии
Приложения:
Вас заинтересует