Ответы
Ответ дал:
1
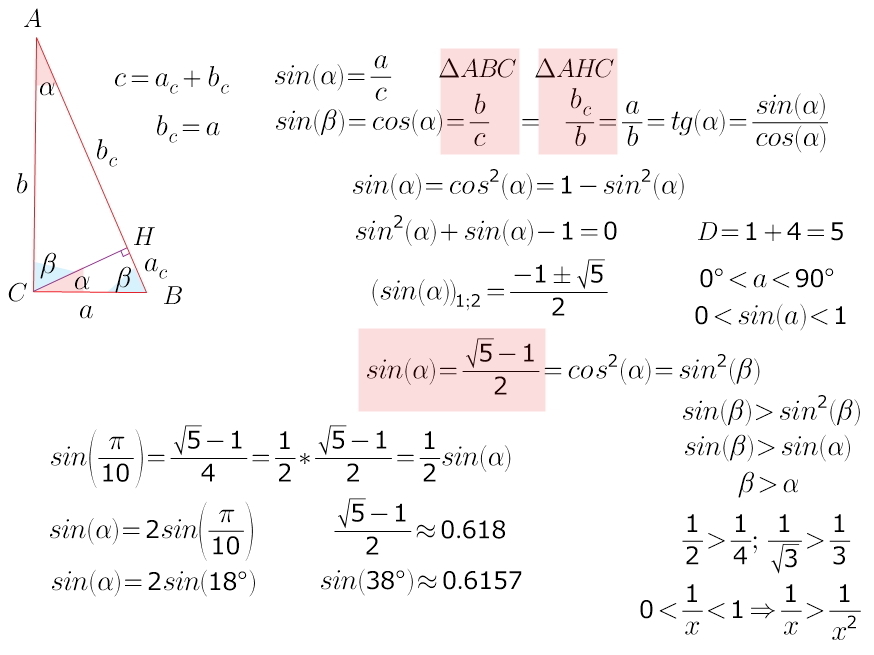
чтобы построить проекцию катета на гипотенузу, нужно опустить перпендикуляр на гипотенузу из вершины прямого угла...
в этом случае всегда получаются подобные треугольники (с равными углами, три пары таких треугольников, все прямоугольные)))
далее потребуется основное тригонометрическое тождество (его изучают в 8 классе, хотя все остальные выводы для 8 класса меньше свойственны, хотя, 8 классы тоже бывают разные)))
для углов, меньших 90° с увеличением угла и синус возрастает (вот этот вывод уже больше для 10-классников, но по условию нужно определить какой угол меньше... можно сравнить катеты))
получился угол примерно равный 38°
в этом случае всегда получаются подобные треугольники (с равными углами, три пары таких треугольников, все прямоугольные)))
далее потребуется основное тригонометрическое тождество (его изучают в 8 классе, хотя все остальные выводы для 8 класса меньше свойственны, хотя, 8 классы тоже бывают разные)))
для углов, меньших 90° с увеличением угла и синус возрастает (вот этот вывод уже больше для 10-классников, но по условию нужно определить какой угол меньше... можно сравнить катеты))
получился угол примерно равный 38°
Приложения:

VictoriaBrain:
Большое Вам спасибо :) снова Вы меня выручаете ^-^
Вас заинтересует
1 год назад
1 год назад
2 года назад
2 года назад
3 года назад
3 года назад
8 лет назад
8 лет назад