Ответы
Ответ дал:
1
формула сокращенного умножения:
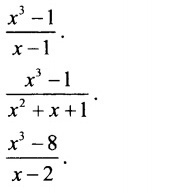
a^3 - b^3 = (a-b)(a^2+ab+b^2)
(x^3-1)/(x-1) = (x-1)(x^2+x+1) / (x-1) сократим x-1 и получим x^2 + x + 1
(x^3-1) / (x^2+x+1) = (x-1)(x^2+x+1) / (x^2+x+1) сократим x^2+x+1 и получим x-1
(х^3-8)/(х-2) = (х^3 - 2^3)/(х-2) = (х-2)(х^2+2х+4)/(х-2) сократим х-2 и получим х^2+2х+4
a^3 - b^3 = (a-b)(a^2+ab+b^2)
(x^3-1)/(x-1) = (x-1)(x^2+x+1) / (x-1) сократим x-1 и получим x^2 + x + 1
(x^3-1) / (x^2+x+1) = (x-1)(x^2+x+1) / (x^2+x+1) сократим x^2+x+1 и получим x-1
(х^3-8)/(х-2) = (х^3 - 2^3)/(х-2) = (х-2)(х^2+2х+4)/(х-2) сократим х-2 и получим х^2+2х+4
Вас заинтересует
2 года назад
2 года назад
2 года назад
2 года назад
3 года назад
3 года назад
9 лет назад