• Предмет: Математика
  • Автор: krivogornitceva7523
  • Вопрос задан 2 года назад

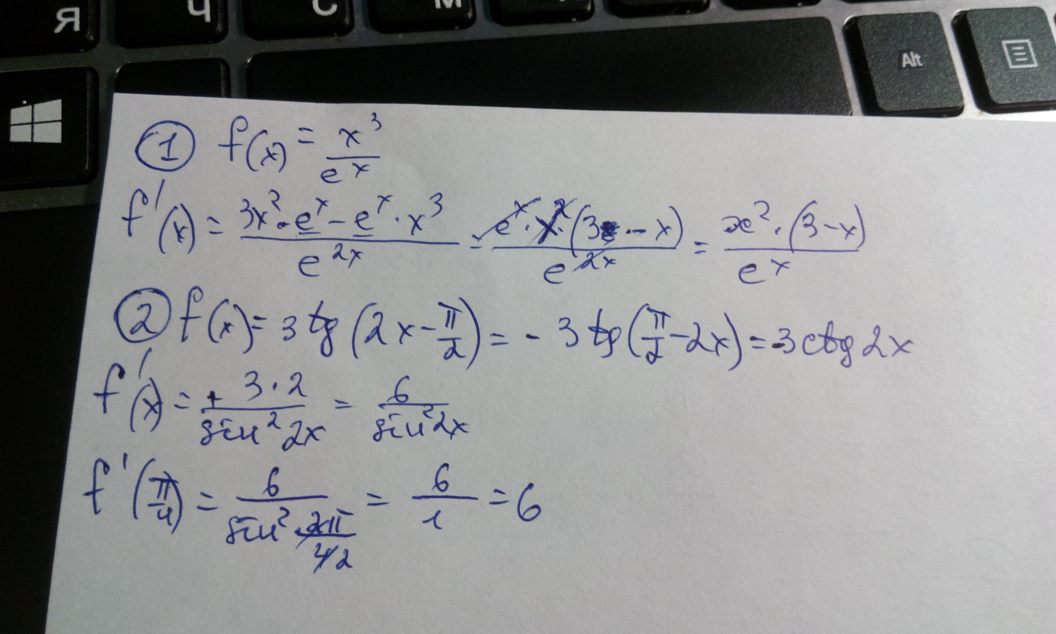
1) Производная функция f(x)=x^3/e^x
2)значение f' (пи/4), если f(x)=3tg(2x-пи2)
3)тангенс угла наклона касательной у=-4х+5
4)максимум функции f(x)= -x^3+x помогите пожалуйста

Ответы

Ответ дал: irinan2014
1
Решения даны на фото.
Приложения:
Вас заинтересует