• Предмет: Химия
  • Автор: MrCociscka1841
  • Вопрос задан 2 года назад

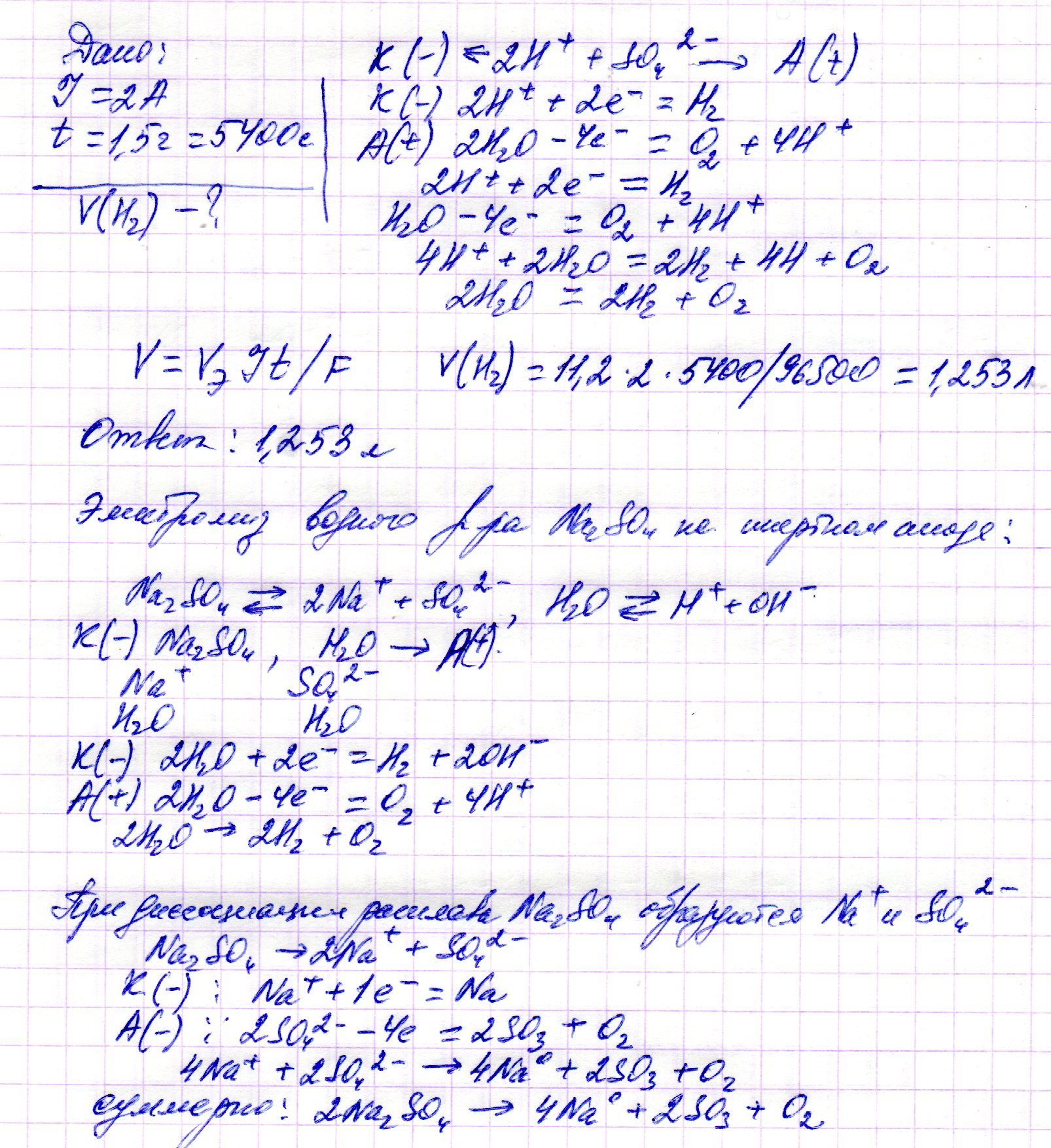
270. Найдите объем водорода, который выделится при пропускании тока силой в 2 А в течение 1,5 ч через водный раствор серной кислоты. Напишите уравнения анодного и катодного процессов, а также суммарное уравнение электролиза водного раствора и расплава Na2SО4 с инертным анодом.

Ответы

Ответ дал: mrvladimir2
4
.................................................
Приложения:
Вас заинтересует