• Предмет: Химия
  • Автор: alexandramatvi8699
  • Вопрос задан 2 года назад

1) Хромовая смесь. Состав, назначение, принцип действия. Техника безопасности.
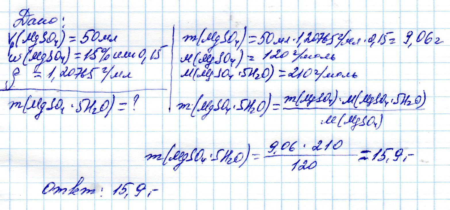
2) Необходимо приготовить раствор MgSO4 объёмом 50 мл с массовой долей 15% (ρ = … г/мл). Рассчитайте массу навески кристаллогидрата MgSO4∙5Н2О необходимую для приготовления данного раствора.

Ответы

Ответ дал: mrvladimir2
1
...........................................................
Приложения:
Вас заинтересует