• Предмет: Алгебра
  • Автор: ivan1309
  • Вопрос задан 2 года назад

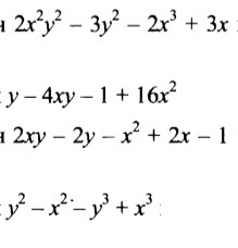
Разложить на множители. Срочно!

Приложения:

Ответы

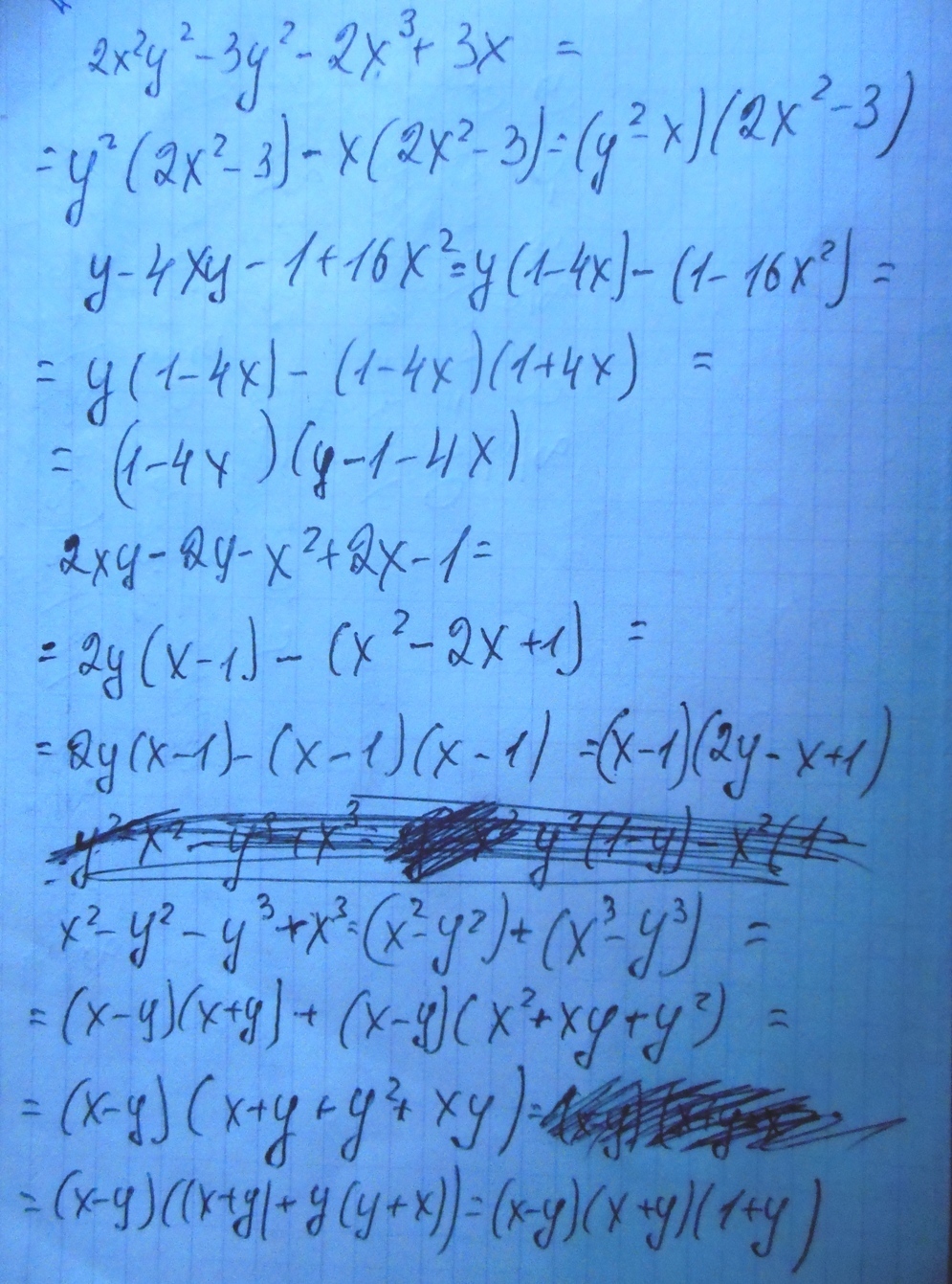
Ответ дал: miron2077
1
!!!!!!!!!!!!!!!!!!!!!!!!!!!
Приложения:
Вас заинтересует