Платформа массой 30 т движется со скоростью 3 м/с. Ее нагоняет такая
же платформа, двигающаяся со скоростью 6 м/с. Скорость этих платформ
после их сцепления равна ... м/с:
Если не сложно, то с объяснением. С физикой полный ноль.
Ответы
Ответ дал:
1
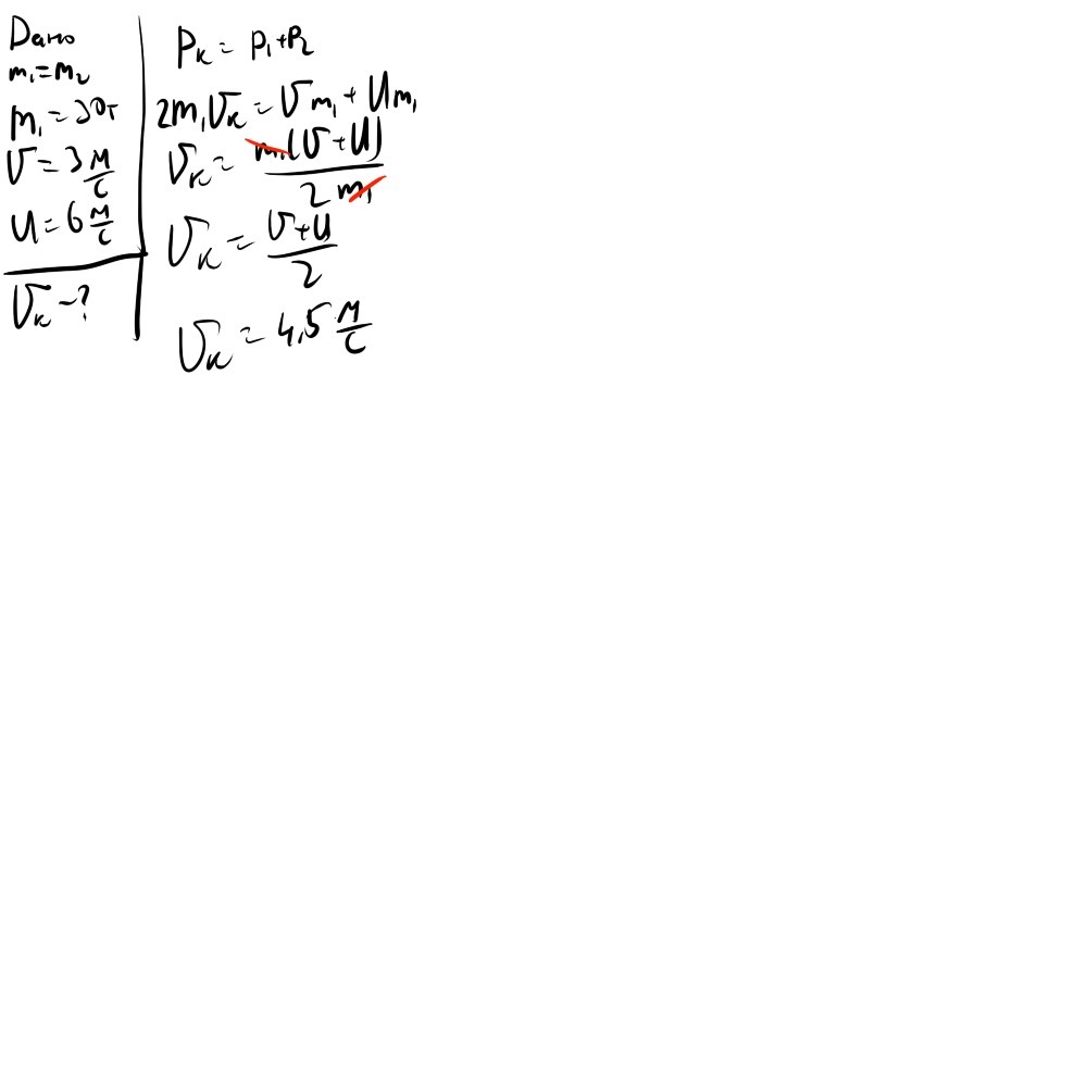
Смотри картинку |||
\ /
\ /
\ /
\ /
Приложения:

Ответ дал:
3
Тут импульс. Есть два вида удара, абсолютно упругий, это когда два тела после удара оттолкнулись друг от друга, а есть абсолютно неупругий удар, тут два тела стали двигаться одновременно вместе после удара. В данной задаче идёт абсолютно неупругий удар, т.к по условию они сцепились. Теперь фо формулам, для абсолютно упругого удара используют формулу m1v1 + или - в зависимости от их движения относительно друг друга m1v1+-m2v2=m1v1'-m2v2'. Вот этот знак ' означает изменение скорости после их соударения, она точно изменится. А вот у не упругого удар иная формула: m1v1+-m2v2=(m1+m2)*vобщ. Тут изменилась правая часть, массы складываются и умножаются на скорость, которая будет после их сцепления, они же будут двигаться вместе. Используем в этой задаче эту формулу: m1v1+m2v2=(m1+m2)*vобщ.
m1 масса первого, v1 скорость первого, у второго также.
30т=30000кг.
(30000*3)+(30000*6)=60000*vобщ.
270000=60000*vобщ.
Vобщ=4,5м/с.
Ответ:4,5м/с
m1 масса первого, v1 скорость первого, у второго также.
30т=30000кг.
(30000*3)+(30000*6)=60000*vобщ.
270000=60000*vобщ.
Vобщ=4,5м/с.
Ответ:4,5м/с
Вас заинтересует
1 год назад
2 года назад
3 года назад
3 года назад