• Предмет: Алгебра
  • Автор: eva77873451
  • Вопрос задан 2 года назад

Не могу сообразить как решается

Приложения:

Ответы

Ответ дал: Аноним
1
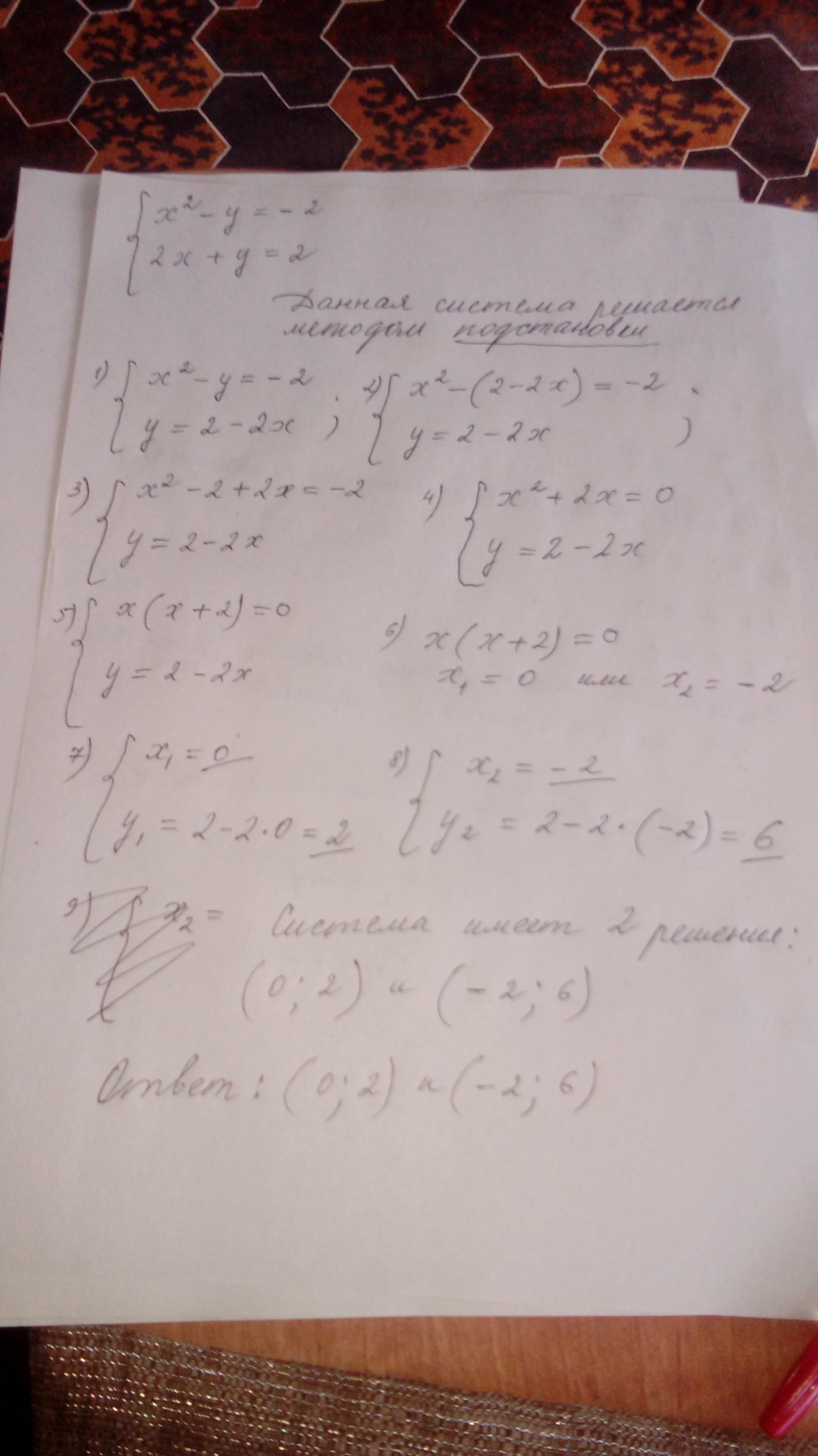
Данная система решается методом подстановки. Ответ смотри ниже.
Приложения:

eva77873451: Спасибо большое)
Аноним: Не за что, обращайтесь. Всегда буду рад помочь.
Вас заинтересует