Сумма первых n членов возрастающей арифметической прогрессии равна половине суммы следующих её n членов. Во сколько раз сумма первых 5n членов этой прогрессии больше суммы её первых n членов?
Ответы
Ответ дал:
3
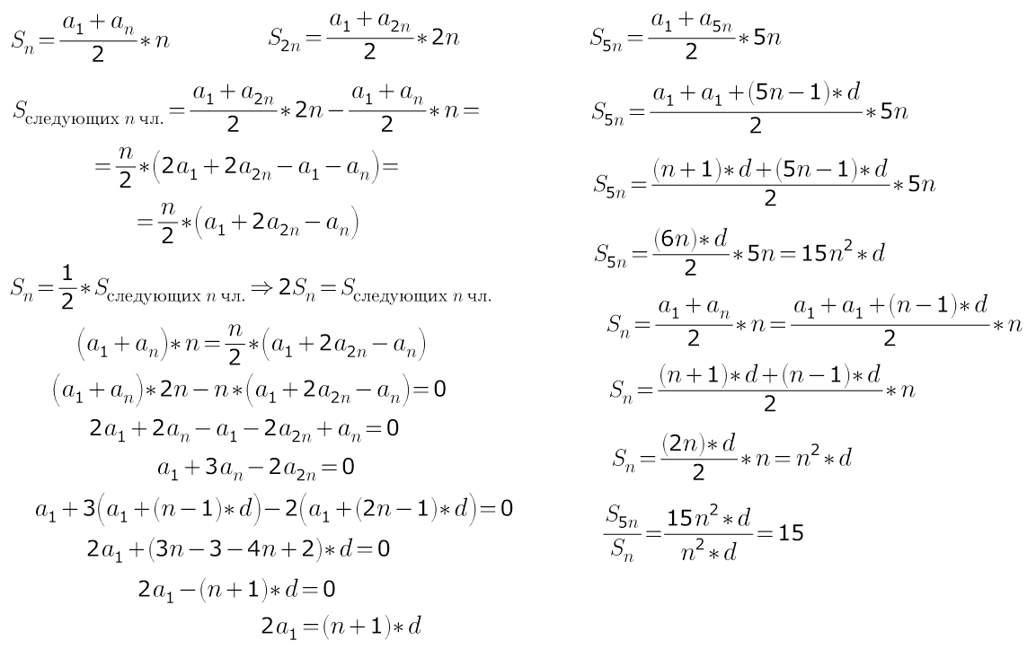
просто записать соответствующие суммы)))
и найти нужное отношение...
Ответ: в 15 раз
и не пригодилось, что прогрессия возрастающая (d > 0)...
и найти нужное отношение...
Ответ: в 15 раз
и не пригодилось, что прогрессия возрастающая (d > 0)...
Приложения:
Вас заинтересует
2 года назад
2 года назад
2 года назад
2 года назад
3 года назад
3 года назад
9 лет назад
9 лет назад