Ответы
Ответ дал:
2
Приложения:

eva77873451:
Ответ 2xy(x-y)?
Ответ дал:
1
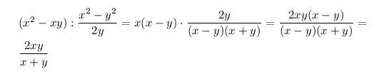
(x²-xy):(x²-y²)/2y=x(x-y)*2y/(x-y)(x+y)=2xy/(x+y)
Вас заинтересует
1 год назад
1 год назад
2 года назад
2 года назад
3 года назад
3 года назад
8 лет назад