• Предмет: Алгебра
  • Автор: magnitolla
  • Вопрос задан 2 года назад

Помогите разложить на множители.

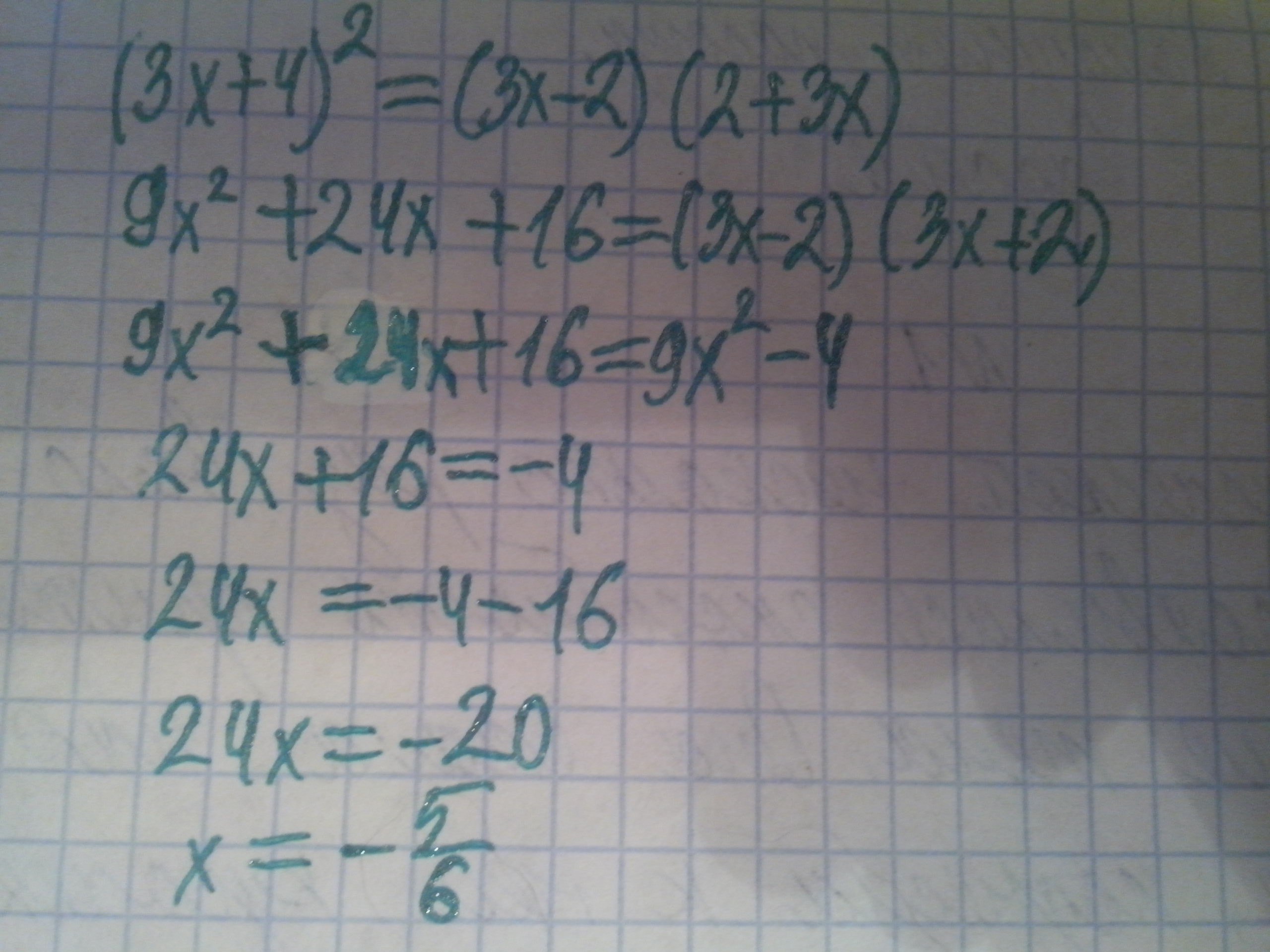
(3x+4)^2=(3x-2)(2+3x)

Ответы

Ответ дал: Аноним
2
Решение на фото,удачи)

Приложения:

magnitolla: Отлично! Спасибо, но ме кажется что именно в этой задаче (не в примере, нет, ты молодец) есть ошибка? или мне кажется?
Аноним: Трудно сказать)
magnitolla: Хорошо, всё равно спасибо ))
Ответ дал: Djasurxon
1
9x^2+24x+16=6x+9x^2-4-6x
9x^2-9x^2+24x-6x+6x=-4-16
24x=-20
x=-20/24
x=-5/6

magnitolla: Спасибо.
Вас заинтересует