Ответы
Ответ дал:
1
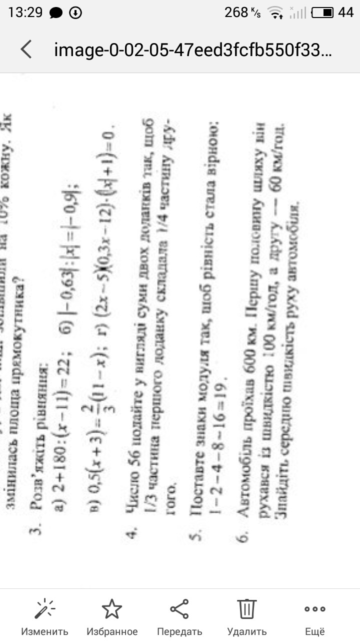
Задача №6
1) 300 / 100=3(години)-на першу половину шляху
2) 300 / 60=5 (годин)- витратив на другу половину шляху
3)5+3=8 (годин)- витратив на увесь шлях
4) 600 / 8= 75(км/год)-середня швидкiсть
1) 300 / 100=3(години)-на першу половину шляху
2) 300 / 60=5 (годин)- витратив на другу половину шляху
3)5+3=8 (годин)- витратив на увесь шлях
4) 600 / 8= 75(км/год)-середня швидкiсть
Приложения:
Вас заинтересует
2 года назад
2 года назад
2 года назад
3 года назад
9 лет назад