Ответы
Ответ дал:
1
1.
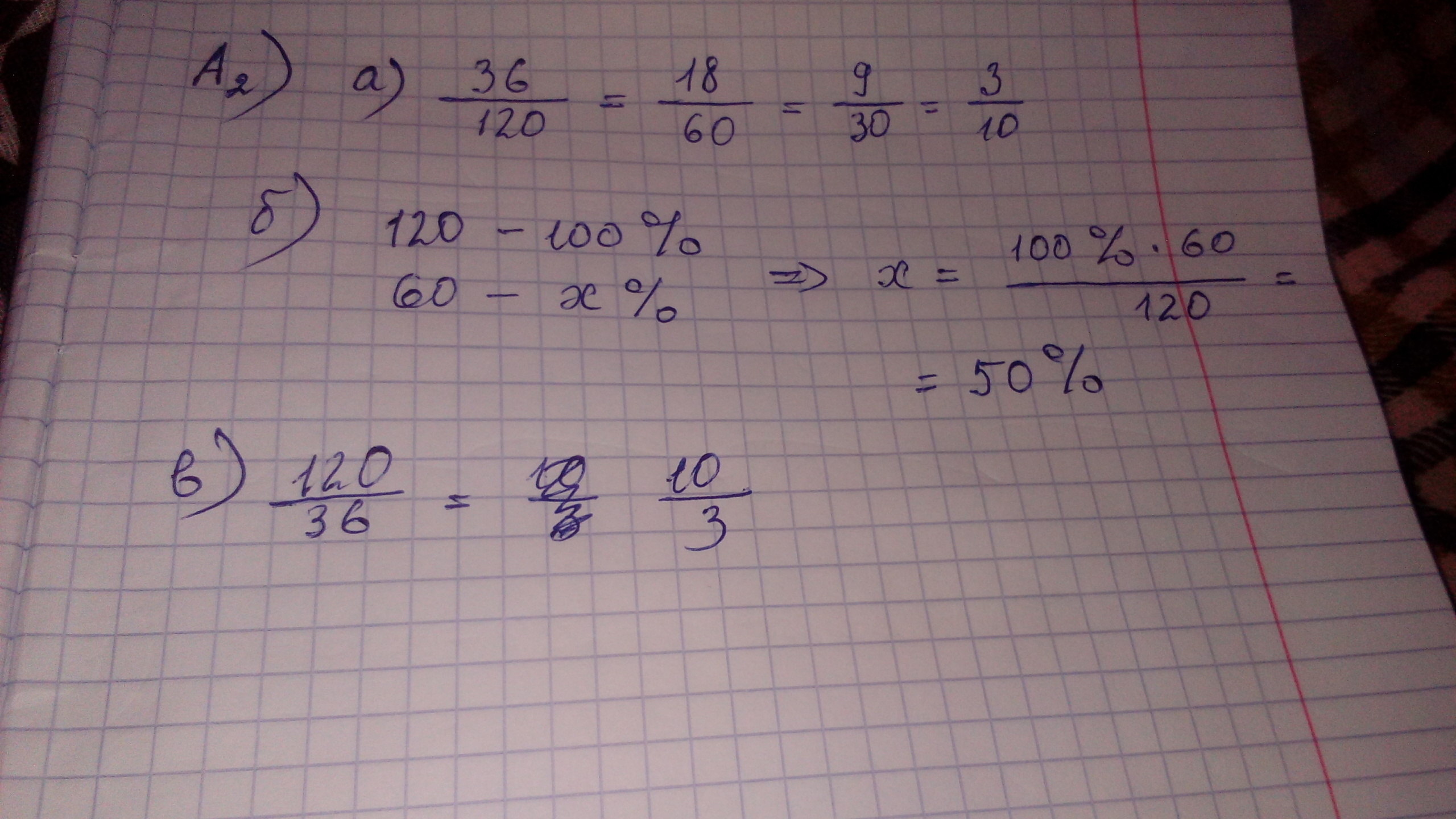
а) 36:120 = 6/20 = 3/10 - составляют мастера от общего числа участников
б) Составим пропорцию:
120участников - 100%
60кандидатов - ?%
60х100:120 = 50% - составляют кандидаты
в) 120:36 = 20/6 = 10/3 = 3 1/3раза - общее число участников больше количества мастеров
2. Решим по отдельности каждую часть пропорции.
Левая часть: (3 1/3) : (2/3) = (10/3) : (2/3) = (10/3)х(3/2) = 10/2 = 5
Правая часть: 30:5 = 6
Получили: 5 = 6 - неверно, т.е. данная пропорция неверна
а) 36:120 = 6/20 = 3/10 - составляют мастера от общего числа участников
б) Составим пропорцию:
120участников - 100%
60кандидатов - ?%
60х100:120 = 50% - составляют кандидаты
в) 120:36 = 20/6 = 10/3 = 3 1/3раза - общее число участников больше количества мастеров
2. Решим по отдельности каждую часть пропорции.
Левая часть: (3 1/3) : (2/3) = (10/3) : (2/3) = (10/3)х(3/2) = 10/2 = 5
Правая часть: 30:5 = 6
Получили: 5 = 6 - неверно, т.е. данная пропорция неверна
Аноним:
Когда составляет пропорцию, то за неизвестное берём переменную, а не ?
Ответ дал:
1
Ответы смотри внизу!!!
Приложения:
Можно ещё 2
?????
2 задание прикреплено.
номер 2
????
Я же сказал, что номер 2 прикреплен. Что тебе ещё надо???
И вообще, кому лучший ответ поставили, у того и спрашивайте!!!
Я решать не буду!!!
Вас заинтересует
2 года назад
2 года назад
2 года назад
2 года назад
3 года назад
3 года назад
9 лет назад